М
Молодежь
К
Компьютеры-и-электроника
Д
Дом-и-сад
С
Стиль-и-уход-за-собой
П
Праздники-и-традиции
Т
Транспорт
П
Путешествия
С
Семейная-жизнь
Ф
Философия-и-религия
Б
Без категории
М
Мир-работы
Х
Хобби-и-рукоделие
И
Искусство-и-развлечения
В
Взаимоотношения
З
Здоровье
К
Кулинария-и-гостеприимство
Ф
Финансы-и-бизнес
П
Питомцы-и-животные
О
Образование
О
Образование-и-коммуникации
Sevinch94
Sevinch94
26.08.2020 03:28 •  Химия

Сколько серебра выделится на катоде при пропускании через раствор agno3 тока силой 8 а в течении 15 мин?

👇
Ответ:
nasty286
nasty286
26.08.2020
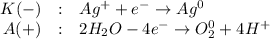
Пишем электродные процессы
\begin{array}{rcl} K(-) &:& Ag^{+} + e^{-} \to Ag^{0} \\ A(+) &:& 2H_{2}O - 4e^{-} \to O_{2}^{0} + 4H^{+} \end{array}
Суммарное уравнение электролиза для расчета нам не нужно
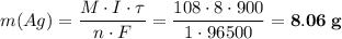
По закону Фарадея считаем массу серебра
m(Ag) = \dfrac{M \cdot I \cdot \tau}{n \cdot F} = \dfrac{108 \cdot 8 \cdot 900}{1 \cdot 96500} = \bf{8.06 \; g}
4,5(31 оценок)
Открыть все ответы
Ответ:

15 разрезов

Объяснение:

Сначала нужно узнать, сколько см было всего проволоки: 45×4=180 (кол-во кусочков на их длину)

Потом нужно узнать, сколько кусков проволоки было первоначально: 180:36=5

Теперь рисуем простую схему (на фото, за шакалов извиняюсь), из которой видно что горизонтальные линии- куски проволоки (как мы узнали, их 5), а вертикальные- разрезы, так, чтобы каждый кусок был разрезан на 4 кусочка. Считаем вертикальные линии и узнаём, что их 15, значит и разрезов было сделано 15.

Надеюсь понятно объяснил


КЛАСС фигню -- бан У мистхера Трудди было несколько кусков проволоки по 36 см. Когда каждый кусок пр
4,8(9 оценок)
Ответ:
nanamaz
nanamaz
26.08.2020

Відповідь:

Пояснення:

Li                                                 N                                        O

15,03*10²³                                  15,03*10²³                         45,09*10²³

H                                                   S                                         O

24,08*10²³                                 12,04*10²³                         48,16 *10²³  

Ca                                                O                                           H

18,06*10²³                                   36,12*10²³                          36,12*10²³

4,5(94 оценок)
Это интересно:
Новые ответы от MOGZ: Химия
logo
Вход Регистрация
Что ты хочешь узнать?
Спроси Mozg
Открыть лучший ответ