М
Молодежь
К
Компьютеры-и-электроника
Д
Дом-и-сад
С
Стиль-и-уход-за-собой
П
Праздники-и-традиции
Т
Транспорт
П
Путешествия
С
Семейная-жизнь
Ф
Философия-и-религия
Б
Без категории
М
Мир-работы
Х
Хобби-и-рукоделие
И
Искусство-и-развлечения
В
Взаимоотношения
З
Здоровье
К
Кулинария-и-гостеприимство
Ф
Финансы-и-бизнес
П
Питомцы-и-животные
О
Образование
О
Образование-и-коммуникации
plalallalalalal
plalallalalalal
23.03.2023 17:53 •  Химия

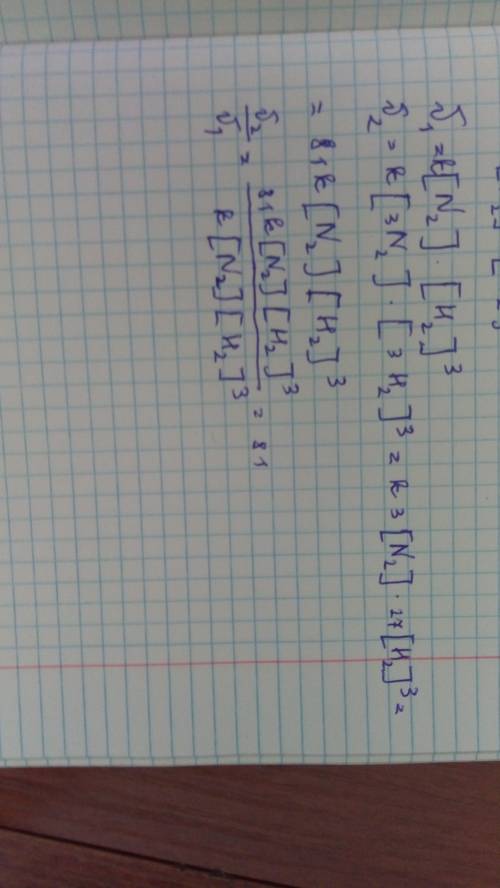
Как изменить скорость реакции n2 + 3h2=2nh3, если объем уменьшить в 3 раза.

👇
Ответ:
dianahohlova
dianahohlova
23.03.2023
Уменшение обьема приводит к уменшению концентрации. Поэтому скорость реакции увеличится в 81 раз
Как изменить скорость реакции n2 + 3h2=2nh3, если объем уменьшить в 3 раза.
4,7(68 оценок)
Ответ:
ира1014
ира1014
23.03.2023
ответ ответ ответ ответ
Как изменить скорость реакции n2 + 3h2=2nh3, если объем уменьшить в 3 раза.
4,5(67 оценок)
Открыть все ответы
Ответ:
MrXMen
MrXMen
23.03.2023

Так как NaOH в избытке, то образуется Na2CO3  

1)  

2NaOH+CO2 -> Na2CO3+H2O  

CO2 прореагир --> x грамм  

Na2CO3 получ. --> 212 г  

M(CO2) =44 г/моль  

M(Na2CO3))=106 г/моль  

сост пропорцию, решаем  

x:212=44:106  

x=(44*212):106 =88(CO2)  

2)  

CH4+4O2 -> CO2+2H2O  

Опять находим молярные массы метана = 16, углекислого газа знаем. Сост. пропорцию  

xг > 88 г  

16г > 44 г  

x = (16*88):44  

x =32 грамм  

Извиняюсь, забыл  

3) молярный объём любого газа равен 22,4 л.  

опять пропорция  

16 г/моль ---> 22,4 литра  

32 грамм > x литров  

V(CH4) = 44,8 литров

4,8(100 оценок)
Ответ:
darkbluefox
darkbluefox
23.03.2023

1). CaF2-фторид кальция-средняя соль

2). Al(OH)3-гидроксид алюминия-амфотерный гидроксид

3). NaNO2-нитрит натрия-средняя соль

4). Mg(OH)2-гидроксид магния-основный гидроксид

5). CaSO3-сульфит кальция-средняя соль

6). K2SiO3-силикат калия-средняя соль

7). Cu(OH)2-гидроксид меди-основный гидроксид

8). P2O5-оксид фосфора(5)-кислотный оксид

9). SO2-оксид серы(4)-кислотный оксид

10). Cl2O-оксид хлора(1)-кислотный оксид

11). Na3PO4-фосфат натрия-средняя соль

12). N2O-оксид азота(1)-несолеобразующий(безразличный) оксид

13). LiOH-гидроксид лития-основный гидроксид

4,6(11 оценок)
Это интересно:
Новые ответы от MOGZ: Химия
logo
Вход Регистрация
Что ты хочешь узнать?
Спроси Mozg
Открыть лучший ответ