М
Молодежь
К
Компьютеры-и-электроника
Д
Дом-и-сад
С
Стиль-и-уход-за-собой
П
Праздники-и-традиции
Т
Транспорт
П
Путешествия
С
Семейная-жизнь
Ф
Философия-и-религия
Б
Без категории
М
Мир-работы
Х
Хобби-и-рукоделие
И
Искусство-и-развлечения
В
Взаимоотношения
З
Здоровье
К
Кулинария-и-гостеприимство
Ф
Финансы-и-бизнес
П
Питомцы-и-животные
О
Образование
О
Образование-и-коммуникации
linkarain13
linkarain13
07.11.2020 12:19 •  Химия

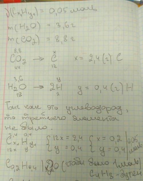
Продукты полного окисления углеводорода количеством вещества 0,05 моль - карбон(iv) оксид и вода. их последовательно пропустили через два стакана: первый - с фосфор(v) оксидом, второй - с концентрированной смесью щёлочи. вследствие полного поглощения продуктов окисления углеводорода массы стаканов увеличились: первого - на 3,6 г, а второго - на 8,8 г. выведите молекулярную формулу углеводорода

👇
Ответ:
nkarakulina
nkarakulina
07.11.2020

n(СхНу)=0,05 моль

CO2 будет взаимодействовать со щелочью, а вода с фосфор(V)оксидом, значит в результате сгорания СхНу образовалось 3,6 г воды и 8,8 г СО2. Найдем количества моль этих веществ

n=m/M , n(CO2)=8,8/44=0.2 моль

n(Н2О)=3,6/18=0.2 моль

Мы получили соотношение веществ СхНу: СО2: Н2О=0,05:0,2:0,2, делим все на наименьшее и получаем коэффициенты реакции горения углеводорода = 1:4:4

СхНу +(0,25у+х) О2=4СО2 +4Н2О, формула С4Н8

4,5(60 оценок)
Ответ:
sane08one
sane08one
07.11.2020
Решение на фотографии
Продукты полного окисления углеводорода количеством вещества 0,05 моль - карбон(iv) оксид и вода. их
4,6(52 оценок)
Открыть все ответы
Ответ:

1. VII группы главной подгруппы. Это фтор, хлор, бром, йод, астат.

2. Похожее строение и свойста их соединений (может быть).

3. 7 электронов, поэтому высшая валентность равна VII, низшая вроде I.

4. Типичные неметаллы.

5. Немет. свойста ослабевают. Фтор - самый активный неметалл.

6. - 

7. Здесь точно не могу сказать, но хлор точно газом будет.

8. Интенсивность окраски связана с увеличением массы.

9. За исключением фтора.

10. Высока.

11. С образованием солей, галогенидов.

12. Металлы - восстановители.

13. Процесс присоединения - восстановление. Отдачи - окисление.

15. Фтор.

17. Вроде оксидов.

 

 

 

 

 

 

 

 

 

 

 

 

 

 

 

 

 

 

 

 

4,5(51 оценок)
Ответ:
Lena2402bux
Lena2402bux
07.11.2020

1) Кислота расворима в воде. В водном растворе диссоциирует на катион водорода и ион хлора:

HCl -> H+ + Cl-

2) Взаимодействут с активными металлами:

Zn + 2HCl -> ZnCl2 + H2

Zn0 - 2e = Zn2+ окисление/ восстановитель

2H+ + 2e = H2   восстановление- окислитель

3)Взаимодействует с основными оксидами:

Na2O + 2HCl = 2NaCl + H2O

Na2O + 2H+ + Cl- = 2Na+ + H2O

Na2O + 2H+ = 2Na + H2O

4) Взаимодействут с основаниями:

NaOH + HCl = NaCl + H2O

OH- + H+ = H2O

5) Вытесняет слабые кислоты из растовров их солей:

Na2CO3 + 2HCl = 2NaCl + H2O + CO2

6) Реакция с солями содержащими катион серебра дают белый творожистфый осадок хлорида серебра

AgNO3 + HCl = AgCl + HNO3

Ag+ + Cl- = AgCl

Получение в лабораторных условиях:

NaCl + H2SO4 = NaHSO4 + HCl

2NaCl + H2SO4 = Na2SO4  + 2HCl

 

4,7(66 оценок)
Новые ответы от MOGZ: Химия
logo
Вход Регистрация
Что ты хочешь узнать?
Спроси Mozg
Открыть лучший ответ