М
Молодежь
К
Компьютеры-и-электроника
Д
Дом-и-сад
С
Стиль-и-уход-за-собой
П
Праздники-и-традиции
Т
Транспорт
П
Путешествия
С
Семейная-жизнь
Ф
Философия-и-религия
Б
Без категории
М
Мир-работы
Х
Хобби-и-рукоделие
И
Искусство-и-развлечения
В
Взаимоотношения
З
Здоровье
К
Кулинария-и-гостеприимство
Ф
Финансы-и-бизнес
П
Питомцы-и-животные
О
Образование
О
Образование-и-коммуникации
МозгиДемона
МозгиДемона
10.01.2023 14:14 •  Химия

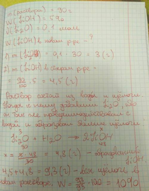
Ксмеси массой 90 г с массовой долей гидроксида лития 5% добавили литий оксид количеством вещества 0,1 моль. вычислите массовую долю (%) щёлочи в смеси, что образовалась

👇
Ответ:
timkaserka
timkaserka
10.01.2023
Решение на фотографии:
Ксмеси массой 90 г с массовой долей гидроксида лития 5% добавили литий оксид количеством вещества 0,
4,7(74 оценок)
Открыть все ответы
Ответ:
yyeyheh
yyeyheh
10.01.2023

ответы и решения

Вариант № 1.

11.Элементы ответа:

1) Составлен электронный баланс:

1I- - 6e-=I+5

3 Cl20+ 2e-= 2 Cl-

2) Указано, что Cl20 – окислитель, а I- – восстановитель.

3) Расставлены коэффициенты в уравнении реакции:

NaI + 3Cl2 + 3H2O = NaIO3 + 6HCl

12.

1) Составлено уравнение реакции H2SO4 + 2NaOH = Na2SO4 + 2H2O

2) Рассчитана масса гидроксида натрия

m(NaOH)=200*20/100=40(г)

3) Найдена масса серной кислоты m(H2SO4)=98*40/80=49(г)

Вариант № 2.

11.Элементы ответа:

1) Составлен электронный баланс:

1S0 - 4e-= S+4

2S0 + 2e-= S-2

2) Указано, что S0 – окислитель и восстановитель.

3) Расставлены коэффициенты в уравнении реакции:

3S + 6NaOH = Na2SO3 + 2Na2S + 3H2O

12.

1) Составлено уравнение реакции MgCl2 + 2KOH = Mg(OH)2 + 2KCl

2) Рассчитана масса хлорида магния

m(MgCl2)= 19*0,05=0,95г

3) Найдена масса гидроксида магнияm(Mg(OH)2)=0,958*58/95=0,58г.

4,4(35 оценок)
Ответ:
TonyaOgneva
TonyaOgneva
10.01.2023

Только не листай ниже

 

 

 

 

 

 

 

 

 

 

 

 

Зачем ты это делаешь? Иди обратно!  

 

 

 

 

 

 

 

 

 

 

 

 

 

 

 

 

 

 

 

 

 

 

 

 

 

 

 

 

Эй, я сказал не спускайся!  

 

 

 

 

 

 

 

 

 

 

 

 

 

 

 

 

 

 

 

 

 

 

 

 

 

 

 

 

 

 

 

 

Если ты спустишься, я не буду с тобой дружить  

 

 

 

 

 

 

 

 

 

 

 

 

 

 

 

 

 

 

 

 

 

 

 

 

 

 

 

 

 

 

 

 

 

 

 

 

 

 

 

 

 

 

 

 

 

 

 

 

 

 

не надо!  

 

 

 

 

 

 

 

 

 

 

 

 

 

 

 

 

 

 

 

 

 

 

 

 

 

 

 

 

 

 

 

 

 

 

 

 

 

 

 

 

 

 

 

 

 

 

 

 

 

 

 

 

 

 

 

 

 

 

 

 

 

Прекрати  

 

 

 

 

 

 

 

 

 

 

 

 

 

 

 

 

 

 

 

 

 

 

 

 

 

 

Надеюсь хотя бы на 50 ❤! Счастье тому и кто поставит

4,6(26 оценок)
Это интересно:

MOGZ ответил

Полный доступ к MOGZ
Живи умнее Безлимитный доступ к MOGZ Оформи подписку
logo
Вход Регистрация
Что ты хочешь узнать?
Спроси Mozg
Открыть лучший ответ