М
Молодежь
К
Компьютеры-и-электроника
Д
Дом-и-сад
С
Стиль-и-уход-за-собой
П
Праздники-и-традиции
Т
Транспорт
П
Путешествия
С
Семейная-жизнь
Ф
Философия-и-религия
Б
Без категории
М
Мир-работы
Х
Хобби-и-рукоделие
И
Искусство-и-развлечения
В
Взаимоотношения
З
Здоровье
К
Кулинария-и-гостеприимство
Ф
Финансы-и-бизнес
П
Питомцы-и-животные
О
Образование
О
Образование-и-коммуникации
Karol45
Karol45
10.05.2023 10:10 •  Химия

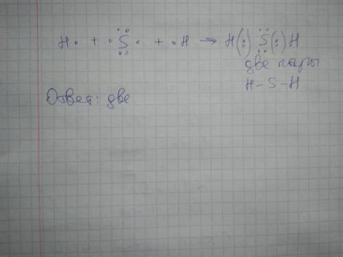
Какое число общих электронных пар, образованных атомом серы молекуле сероводорода h2s

👇
Ответ:
taschurkova
taschurkova
10.05.2023
Смотри фото если что-то не понятно пиши в коменты
Какое число общих электронных пар, образованных атомом серы молекуле сероводорода h2s
4,7(50 оценок)
Открыть все ответы
Ответ:
leshchenko1234
leshchenko1234
10.05.2023
Азот и фтор- это газы окислители. Без нагревания взаимодействуют с литием, а с остальными металлами 1 и 2 групп с нагреванием. Азот взаимодействует с водородом при катализе, а фтор произвольно даже при низких температурах. Различия: фтор в отличии от азота не может отдавать электронов. Различия в электронном строении. Азот и мышьяк- неметаллы с одинаковым строением внешнего электронного уровня. Схожи в химическом поведении: например, бинарные соли с щелочными металлами гидролизуются с образованием гидридов. Различия: азот- газ, а мышьяк- твердое вещество. Мышьяк значительно менее активен.
4,4(13 оценок)
Ответ:
нет169
нет169
10.05.2023
Лучшим реагентом будет ортофосфат натрия, Na3PO4.
Общая жесткость воды состоит из карбонатной(точнее - гидрокарбонатной, которую придают Ca(HCO3)2 и Mg(HCO3)2), которая относительно легко убирается кипячением, и постоянную: там участвуют соли тех же кальция и магния, только уже преимущественно хлориды и сульфаты. Они, в отличие от гидрокарбонатов, более стойкие к нагреванию. Например, CaSO4, MgCl2.
Ортофосфат натрия легко вступает в реакцию с представленными солями обоих типов, образуя осадок, который легко отделить механически:
3Ca(HCO3)2 + 2Na3PO4 → Ca3(PO4)2↓ + 6NaHCO3
3MgSO4 + 2Na3PO4 → Mg3(PO4)2↓ + 3Na2SO4.

В промышленности также используются ионообменные смолы, но это уже как дополнение к основному ответу. 
4,8(77 оценок)
Новые ответы от MOGZ: Химия
logo
Вход Регистрация
Что ты хочешь узнать?
Спроси Mozg
Открыть лучший ответ