М
Молодежь
К
Компьютеры-и-электроника
Д
Дом-и-сад
С
Стиль-и-уход-за-собой
П
Праздники-и-традиции
Т
Транспорт
П
Путешествия
С
Семейная-жизнь
Ф
Философия-и-религия
Б
Без категории
М
Мир-работы
Х
Хобби-и-рукоделие
И
Искусство-и-развлечения
В
Взаимоотношения
З
Здоровье
К
Кулинария-и-гостеприимство
Ф
Финансы-и-бизнес
П
Питомцы-и-животные
О
Образование
О
Образование-и-коммуникации
krasotka505050
krasotka505050
15.06.2022 14:57 •  Химия

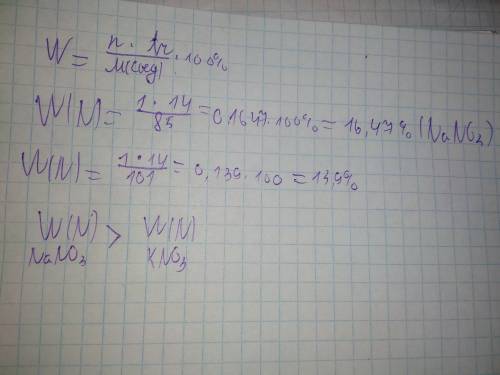
30 решить через дано ( в каком из соединений nano3 и kno3 массовая доля азота наибольше ) полность расписать

👇
Ответ:
exampllee1
exampllee1
15.06.2022

Вроде бы правильно:)


30 решить через дано ( в каком из соединений nano3 и kno3 массовая доля азота наибольше ) полность р
4,7(31 оценок)
Открыть все ответы
Ответ:
саша4246
саша4246
15.06.2022

1. CH4+2O2 = CO2+2H2O

    В.6

2. Б.Cu+O2=2CuO

3. Б. бактерициден

4. А. BaS
5. А.Zn
6. А.CO3+2H--> CO2↑+H2O
7. SO3→ H2SО4→ Na SO4→BaSО4
   SO3 + H2O → H2SO4
   H2SO4 + 2NaOH →Na2SO4 + H2O
   Na2SO4 + BaCl2 →BaSО4 + 2NaCl
8. Составьте уравнение реакции схема которой:
    Zn + 2H2SO4(конц.) →Zn SO4 + SO2+ H2O
9. Оксид-это соединение элемента с кислородом
10. Na2SO3 + 2HCl → 2NaCl + H2O + SO2
      SO3(2-) + 2H(+)→ H2O + SO2

12. А.1s2 2s2 2p4
13. В.О2

14. А.H2S --> SO2 --> SO3

15. А. Изменяются переодически.

4,5(66 оценок)
Ответ:
Kate1892
Kate1892
15.06.2022

caco3 реагирует с соляной кислотой, уравнение:

caco3 + 2hcl -> cacl2 + h2co3

надо выяснить, сколько карбоната прореагирует, а сколько останется в растворе. для этого надо выяснить, какой из реагентов находится в избытке, сравнить количество вещества реагентов с коэффициентами реакции.

n (caco3) = 150г/100 г/моль = 1.5 моль

n (hcl) = 0.05*1000 г/ 36.5 г/моль = 1.4 моль.

исходя из уравнения, соотношение hcl/caco3 должно быть 2/1, что не так в нашем случае.

соответственно caco3 в избытке, считаем сколько caco3 прореагирует: 1.4 моль/2 = 0.7 моль

соответственно останется 0.8 моль = 80 г

общая масса раствора 150 г + 1 кг = 1150 г

массовая доля caco3 = 80 г/ 1150 г = 7%

4,6(68 оценок)
Это интересно:
Новые ответы от MOGZ: Химия
logo
Вход Регистрация
Что ты хочешь узнать?
Спроси Mozg
Открыть лучший ответ