М
Молодежь
К
Компьютеры-и-электроника
Д
Дом-и-сад
С
Стиль-и-уход-за-собой
П
Праздники-и-традиции
Т
Транспорт
П
Путешествия
С
Семейная-жизнь
Ф
Философия-и-религия
Б
Без категории
М
Мир-работы
Х
Хобби-и-рукоделие
И
Искусство-и-развлечения
В
Взаимоотношения
З
Здоровье
К
Кулинария-и-гостеприимство
Ф
Финансы-и-бизнес
П
Питомцы-и-животные
О
Образование
О
Образование-и-коммуникации
agogolewa2016
agogolewa2016
19.06.2022 11:09 •  Химия

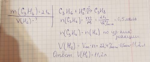
60 какой объём водорода может присоединиться к пропену массой 21 г?

👇
Ответ:
динка84
динка84
19.06.2022

Вот, решение прикреплено к фото


60 какой объём водорода может присоединиться к пропену массой 21 г?
4,8(97 оценок)
Ответ:
Olga2907
Olga2907
19.06.2022
11,2 литра объём водорода
4,4(22 оценок)
Открыть все ответы
Ответ:
lipaalexandrova
lipaalexandrova
19.06.2022

Хутка семдзесят гадоў, як скончылася вялікая вайна. Тады стаяла квітнеючая вясна. На вуліцах абдымаліся незнаёмыя людзі, у радыёпрымачоў выстройваліся чэргі : паслухаць радасныя навіны. Той вясной наш народ пачаў з энтузіязмам аднаўляць руіны страні : ворага прагналі, пара навесці парадак у доме.

Мы не любім воен, таму што іх пачынаюць за свае інтарэсы палітыкі, багацеі або фанатыкі. Але Айчынная вайна называецца Вялікай, бо вялікі быў народны подзвіг. Людзі ваявалі не за палітычныя каштоўнасці, а за свой дом, сад каля яго, за сям’ю. Заканамерна, што перамаглі тыя, хто змагаўся за чалавечыя каштоўнасці. А тыя , хто прыйшоў заняволіць, пацярпелі паразу

4,7(90 оценок)
Ответ:
anx2003
anx2003
19.06.2022

Получение кислорода

Кислород (O2) в лаборатории получают разложением перманганата калия KMnO4 (марганцовки). Для опыта понадобится пробирка с газоотводной трубкой. В пробирку насыпаем кристаллический перманганат калия. Для сбора кислорода приготовим колбу. При нагревании перманганат калия начинает разлагаться, выделяющийся кислород поступает по газоотводной трубке в колбу. Кислород тяжелее воздуха, поэтому не покидает колбу и постепенно заполняет ее. Тлеющая лучинка вспыхивает в колбе: значит нам удалось собрать кислород.

2 KMnO4 = K2MnO4 + MnO2 + O2 ↑

4,7(40 оценок)
Это интересно:
Новые ответы от MOGZ: Химия
logo
Вход Регистрация
Что ты хочешь узнать?
Спроси Mozg
Открыть лучший ответ