
Сказка русского народа «Иван-крестьянский сын и чудо-юдо» мне очень понравилась. У меня вызвала восхищение храбрость и скромность главного героя. Я искренне переживала за Ивана, когда его хотели погубить жены страшилищ. Но, в конце концов, добро преодолело все козни зла, и сказка закончилась очень хорошо.
Когда ужасное чудо-юдо начало совершать налеты, Иван-крестьянский сын сам вызвался идти на бой с ним вместе со старшими братьями. И это доказывает, что он был храбрым, и вообще ничего не боялся. А еще Иван был верен своему делу. Его братья спали, а он дважды сумел победить чудо-юдо, и никому об этом не сказал. Только братья все знали, и им было стыдно.
Сказка учит нас доброте и смелости. Иван был очень умным, он умел все подмечать, и поэтому разгадал коварные планы жен чудовищ. Он не позволил никому пить из отравленных колодцев, и всегда был наготове. Именно поэтому козни злодеек не удались, и все герои сказки вернулись домой целыми и здоровыми. Иван-крестьянский сын – это пример мужества, находчивости и удивительной русской смекалки. Он понравился мне еще и своей добротой, скромностью.
Сказка очень мудрая и поучительная. Я с удовольствием прочитала ее, а Иван-крестьянский сын теперь станет одним из любимых моих героев
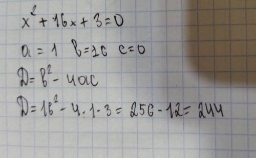
это Алгебра а не литература
Объяснение:
ответ на фото надеюсь если не сложно то можно как лучший ответ