М
Молодежь
К
Компьютеры-и-электроника
Д
Дом-и-сад
С
Стиль-и-уход-за-собой
П
Праздники-и-традиции
Т
Транспорт
П
Путешествия
С
Семейная-жизнь
Ф
Философия-и-религия
Б
Без категории
М
Мир-работы
Х
Хобби-и-рукоделие
И
Искусство-и-развлечения
В
Взаимоотношения
З
Здоровье
К
Кулинария-и-гостеприимство
Ф
Финансы-и-бизнес
П
Питомцы-и-животные
О
Образование
О
Образование-и-коммуникации
youtubeadamchuk
youtubeadamchuk
25.08.2022 09:19 •  Математика

Найдите наименьшее натуральное решение неравенства |х-8|< 4х

👇
Ответ:
kristimilafffka
kristimilafffka
25.08.2022

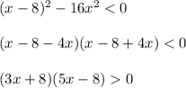
При условии x > 0 возводим обе части неравенства в квадрат, получим

(x-8)^2-16x^2

(3x+8)(5x-8) = 0  ⇒   x₁ = -8/3;   x₂ = 1.6

x ∈ (-∞; -8/3) ∪ (1.6; +∞).

С учетом того что x > 0, получаем ответ x ∈ (1.6; +∞).

Наименьшее натуральное решение неравенства: 2.

ответ:  2.


Найдите наименьшее натуральное решение неравенства |х-8|< 4х
4,6(67 оценок)
Ответ:
hs2
hs2
25.08.2022

Ix-8I<4x

cистема

{х-8<4x

{x-8>-4x

{3x>-8

{5x>8

{x>-8/3

{x>8/5 ответ - пересечение интервалов. 8/5=1 3/5=1,6

ответ: х>1,6. Наименьшее натуральное решение х=2.                   

4,5(41 оценок)
Открыть все ответы
Ответ:
bryuho20011
bryuho20011
25.08.2022

ответ:  На 54 м длина изгороди 2 водоема больше длины изгороди 1 водоема.

Пошаговое объяснение:

Дано. Два водоёмы имеют одинаковую площадь.

Один из них квадратный со стороной 84 м,

а другой прямоугольной формы длина которого 147 м.

Оба водоема обнесены изгородью.

У какого водоема изгородью длиннее и на сколько.

Решение.

1) Найдем площади  водоемов   S=a² = 84² = 7056 м².

2)  Найдем ширину 2 водоема:  7056 : 147= 48 м.

3) Найдем периметр 1 водоема:

Р=4а=4*84 = 336 м - длина изгороди   1 водоема.

4)  Найдем периметр 2 водоема:

Р=2(a+b)=2(48+147)=2*195=390 м - длина изгороди 2 водоема.

5) Найдем разницу длин изгороди водоемов:

390 - 336 = 54 м.  

На 54 м длина изгороди 2 водоема больше длины изгороди 1 водоема.

4,6(30 оценок)
Ответ:
Дорамница
Дорамница
25.08.2022

ответ:   На 100 м длина изгороди 2 поля больше длины  изгороди 1 поля.

Пошаговое объяснение:

Дано.  Два поля имеют одинаковую площадь.

Одно из них квадрат на со стороны 72м,

а другое прямоугольной формы, длина которого 162  м.

Оба поля обнесены живой изгородью.

У какого поля изгородь длиннее и на сколько?

Решение.

1) Найдем площади полей.  S=72²=5184  м².

2)  Найдем ширину второго поля

S=ab;  b=S/a=5184 : 162 =  32 м.

3)  Длина изгороди 1 поля  равна  периметру (Р1) квадрата со стороной 72м.

Р1=4а = 4*72= 288 м.

4)  Длина изгороди 2 поля  равна периметру (Р2) прямоугольника со сторонами 32 м и 162 м.

Р2=2(a+b) = 2(32+162)=2*194= 388 м.

5)  Найдем разность длин изгороди 1 и 2 полей:

388 - 288 = 100 м.

На 100 м длина изгороди 2 поля больше длины  изгороди 1 поля.

4,4(50 оценок)
Это интересно:
Новые ответы от MOGZ: Математика
logo
Вход Регистрация
Что ты хочешь узнать?
Спроси Mozg
Открыть лучший ответ