М
Молодежь
К
Компьютеры-и-электроника
Д
Дом-и-сад
С
Стиль-и-уход-за-собой
П
Праздники-и-традиции
Т
Транспорт
П
Путешествия
С
Семейная-жизнь
Ф
Философия-и-религия
Б
Без категории
М
Мир-работы
Х
Хобби-и-рукоделие
И
Искусство-и-развлечения
В
Взаимоотношения
З
Здоровье
К
Кулинария-и-гостеприимство
Ф
Финансы-и-бизнес
П
Питомцы-и-животные
О
Образование
О
Образование-и-коммуникации
ArtemDeineka
ArtemDeineka
26.05.2020 09:56 •  Математика

Из перечисленных обобщенных гармонических рядов выберите все расходящиеся

выберите один или несколько ответов:

👇
Ответ:
Натали190997
Натали190997
26.05.2020

Обобщённо гармонический ряд имеет вид

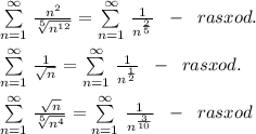
\sum\limits _{n=1}^{\infty }\, \frac{1}{n^{\alpha }}=\left \{ {{\alpha 1\; ,\; sxoditsya} \atop {\alpha \leq 1\; ,\; rasxoditsya}} \right.

\sum\limits _{n=1}^{\infty }\, \frac{n^2}{\sqrt[5]{n^{12}}}=\sum\limits _{n=1}^{\infty }\, \frac{1}{n^{\frac{2}{5}}}\; \; -\; \; rasxod.\\\\\sum\limits _{n=1}^{\infty }\, \frac{1}{\sqrt{n}}=\sum\limits _{n=1}^{\infty }\, \frac{1}{n^{\frac{1}{2}}}\; \; -\; \; rasxod.\\\\\sum\limits _{n=1}^{\infty }\, \frac{\sqrt{n}}{\sqrt[5]{n^{4}}}=\sum\limits _{n=1}^{\infty }\, \frac{1}{n^{\frac{3}{10}}}\; \; -\; \; rasxod

4,7(16 оценок)
Открыть все ответы
Ответ:
7777kiti
7777kiti
26.05.2020
Представьте в виде суммы разрядных слагаемых. Назовите все разряды слева направо:

Все что ДО запятой считаем разряд справа налево единицы, десятки, сотни. Все что ПОСЛЕ запятой считаем слева направо -- первая цифра - десятые, вторая- сотые, третья- тысячные,...

Если есть ДО запятой число, не ноль, его в сумме пишем 3,1= 3+0,1, три единицы+ 1 десятая ,если в разряде любом ноль то в сумму его писать не надо. 0,12= 0+0,1+0,02 надо =0,1+0,02



0,18 = 0,1+ 0,08
0,1- разряд десятых
0,08 разряд сотых

0,315= 0,3+0,01+0,05
0,3- разряд десятых
0,01- разряд сотых
0,05- разряд тысячных

0,14= 0,1+0,04
0,1-разряд десятых
0,04 - разряд сотых

0,222= 0,2+0,02+ 0,002
0,2-разряд десятых
0,02-разряд сотых
0,002- разряд тысячных

0,8627= 0,8+0,06+0,002+0,0007
0,8-разряд десятых
0,06- разряд сотых
0,002-разряд тысячных
0,0007- разряд десятитысячных
4,4(66 оценок)
Ответ:
mavikon
mavikon
26.05.2020
Представьте в виде суммы разрядных слагаемых. Назовите все разряды слева направо:

Все что ДО запятой считаем разряд справа налево единицы, десятки, сотни. Все что ПОСЛЕ запятой считаем слева направо -- первая цифра - десятые, вторая- сотые, третья- тысячные,...

Если есть ДО запятой число, не ноль, его в сумме пишем 3,1= 3+0,1, три единицы+ 1 десятая ,если в разряде любом ноль то в сумму его писать не надо. 0,12= 0+0,1+0,02 надо =0,1+0,02



0,18 = 0,1+ 0,08
0,1- разряд десятых
0,08 разряд сотых

0,315= 0,3+0,01+0,05
0,3- разряд десятых
0,01- разряд сотых
0,05- разряд тысячных

0,14= 0,1+0,04
0,1-разряд десятых
0,04 - разряд сотых

0,222= 0,2+0,02+ 0,002
0,2-разряд десятых
0,02-разряд сотых
0,002- разряд тысячных

0,8627= 0,8+0,06+0,002+0,0007
0,8-разряд десятых
0,06- разряд сотых
0,002-разряд тысячных
0,0007- разряд десятитысячных
4,5(36 оценок)
Новые ответы от MOGZ: Математика
logo
Вход Регистрация
Что ты хочешь узнать?
Спроси Mozg
Открыть лучший ответ