Решить: андрей и борис бегают по круговой дорожке ,причем андрей бежит по часовой стрелке а борис против если андрей увеличит свою скорость три раза мальчики начнут встречаться в полтора раза чаще .во сколько раз чаще они станут встречался ,если свою скорость увеличит в три раза борис ?
В 2.5 раза
Пошаговое объяснение:
Пусть длина дорожки
(то есть 1 круг). Скорость Андрея
, а скорость Бориса
.
Тогда они встречаются через
.
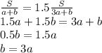
По условию,
Отсюда они встречаются через
.
Теперь Борис увеличивает свою скорость в 3 раза до
И встречаться они станут чаще в