М
Молодежь
К
Компьютеры-и-электроника
Д
Дом-и-сад
С
Стиль-и-уход-за-собой
П
Праздники-и-традиции
Т
Транспорт
П
Путешествия
С
Семейная-жизнь
Ф
Философия-и-религия
Б
Без категории
М
Мир-работы
Х
Хобби-и-рукоделие
И
Искусство-и-развлечения
В
Взаимоотношения
З
Здоровье
К
Кулинария-и-гостеприимство
Ф
Финансы-и-бизнес
П
Питомцы-и-животные
О
Образование
О
Образование-и-коммуникации
timon201
timon201
15.07.2022 18:50 •  Математика

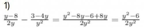
Выполните вычитание y-8/2y - 3-4y/y^2​

👇
Ответ:
Гусяра228
Гусяра228
15.07.2022

Пошаговое объяснение:


Выполните вычитание y-8/2y - 3-4y/y^2​
4,7(49 оценок)
Открыть все ответы
Ответ:
Auebandit1337
Auebandit1337
15.07.2022
1отряд(малиновые галстуки) - кинокомпания "мосфильм" творческое объединение "лепота" мы с первого дубля снимаем, второму не быть никогда 2 отряд (фисташковые галстуки) - кинокомпания "walt disney" творческое объединение "дядя яков" акуна матата и дядюшка яков акуна матата понятно без знаков. мы мультпликаторы. дружно - хей хей с акуной мататой по жизни disney 3 отряд (розовые галстуки) - кинокомпания "dream works" творческое объединение "бамбук" зри в корень - будь бамбуча 4 отряд (оранжевые галстуки) - кинокомпания "антон палыч" творческое объединение "союзмультфильм" рыжий цвет, оранжевое настроение - залог веселья и везенья. 5 отряд (синие галстуки) - кинокомпания "the lumier brothers first film" творческое объединение "кандела" синематограф - семейное дело прославило брата люмьера власть получили над светом и тенью изобретенью. 6 отряд (бордовые галстуки) - кинокомпания "одесская киностудия" творческое объединение "дети гроссмана" 32 прекрасных кадра за одним идёт другой не сидится нам на месте и не нам покой.
4,8(38 оценок)
Ответ:
Jiter
Jiter
15.07.2022
1) 15: 3=5 мин - требуется толстому муравью, чтобы преодолеть расстояние от точки а до точки в. 2) 5*2=10 мин - требуется толстому муравью на путь до точки в и обратно (на 1 рейс с грузом). 3) 150: 5=30 рейсов - потребуется толстому муравью, чтобы доставить весь груз. 4) 30*10=300 мин - понадобится толстому муравью, чтобы доставить весь груз. 5) 15: 5=3 мин- требуется тонкому  муравью, чтобы преодолеть расстояние от точки а до точки в. 6) 3*2=6 мин -  требуется тонкому  муравью на путь до точки в и обратно (на 1 рейс с грузом). 7) 150: 3=50  рейсов - потребуется тонкому  муравью, чтобы доставить весь груз. 8) 50*6=300 мин -  рейсов - потребуется тонкому  муравью, чтобы доставить весь груз. 9) 300 мин = 300 мин, значит муравьи доставят весь груз в точку в одновременно. ответ: одновременно.
4,4(81 оценок)
Это интересно:
Новые ответы от MOGZ: Математика
logo
Вход Регистрация
Что ты хочешь узнать?
Спроси Mozg
Открыть лучший ответ