М
Молодежь
К
Компьютеры-и-электроника
Д
Дом-и-сад
С
Стиль-и-уход-за-собой
П
Праздники-и-традиции
Т
Транспорт
П
Путешествия
С
Семейная-жизнь
Ф
Философия-и-религия
Б
Без категории
М
Мир-работы
Х
Хобби-и-рукоделие
И
Искусство-и-развлечения
В
Взаимоотношения
З
Здоровье
К
Кулинария-и-гостеприимство
Ф
Финансы-и-бизнес
П
Питомцы-и-животные
О
Образование
О
Образование-и-коммуникации

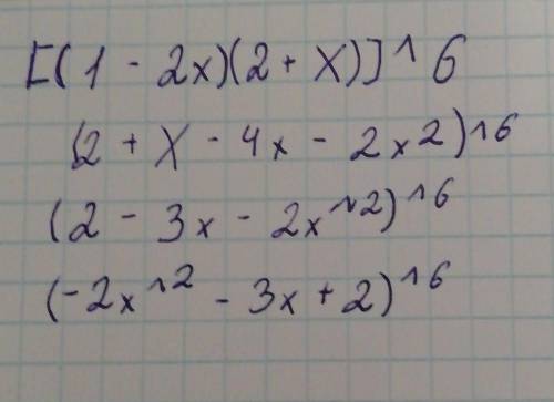
Найти коэффициент при x выражения [(1-2x)(2+​

👇
Ответ:
UliaOlolenko464
UliaOlolenko464
28.06.2020

Решение на фото все подробно расписанно


Найти коэффициент при x выражения [(1-2x)(2+​
4,6(82 оценок)
Открыть все ответы
Ответ:
ZnayNeZnay
ZnayNeZnay
28.06.2020
Прямоугольный параллелепипед - это разновидность многогранника, состоящая из 6 граней, каждая из которых является прямоугольником.
a, b, c - стороны параллелепипеда. 
По условию дана:
- длина диагонали параллелепипеда D=АС1=13
- длина диагонали основания do=BD=12
- длина диагонали боковой грани dг=ВС1=12
Видно, что диагонали do=dг, а т.к. do²=а²+b² и dг²=а²+с², значит b=с
Диагональ D²=а²+b²+с²=а²+b²+b²=do²+b²
b²=D²-do²=13²-12²=169-144=25
b=с=√25=5
а²=do²-b²=144-25=119
а=√119
Объем параллелепипеда V=abc=√119*5*5=25√119
4,6(13 оценок)
Ответ:
JanieMoor
JanieMoor
28.06.2020
Прямоугольный параллелепипед - это разновидность многогранника, состоящая из 6 граней, каждая из которых является прямоугольником.
a, b, c - стороны параллелепипеда. 
По условию дана:
- длина диагонали параллелепипеда D=АС1=13
- длина диагонали основания do=BD=12
- длина диагонали боковой грани dг=ВС1=12
Видно, что диагонали do=dг, а т.к. do²=а²+b² и dг²=а²+с², значит b=с
Диагональ D²=а²+b²+с²=а²+b²+b²=do²+b²
b²=D²-do²=13²-12²=169-144=25
b=с=√25=5
а²=do²-b²=144-25=119
а=√119
Объем параллелепипеда V=abc=√119*5*5=25√119
4,6(8 оценок)
Новые ответы от MOGZ: Математика
logo
Вход Регистрация
Что ты хочешь узнать?
Спроси Mozg
Открыть лучший ответ