М
Молодежь
К
Компьютеры-и-электроника
Д
Дом-и-сад
С
Стиль-и-уход-за-собой
П
Праздники-и-традиции
Т
Транспорт
П
Путешествия
С
Семейная-жизнь
Ф
Философия-и-религия
Б
Без категории
М
Мир-работы
Х
Хобби-и-рукоделие
И
Искусство-и-развлечения
В
Взаимоотношения
З
Здоровье
К
Кулинария-и-гостеприимство
Ф
Финансы-и-бизнес
П
Питомцы-и-животные
О
Образование
О
Образование-и-коммуникации
Shermetovelyar552
Shermetovelyar552
26.03.2022 06:35 •  Математика

7класс
решите уравнение 7,6-3х=4, 1+2х

👇
Ответ:
Bog1209
Bog1209
26.03.2022

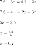
7.6 - 3x = 4.1 + 2x \\ \\ 7.6 - 4.1 = 2x + 3x \\ \\ 5x = 3.5 \\ \\ x = \frac{3.5}{5} \\ \\ x = 0.7 \\ \\

Ответ: 0,7

4,4(44 оценок)
Ответ:
maksdlernerwanemaks
maksdlernerwanemaks
26.03.2022

ответ: 0,7

Пошаговое объяснение:

7,6 - 3х = 4,1 + 2х

2х + 3х + 4,1 = 7,6

5х = 7,6 - 4,1

5х = 3,5

х = 3,5 ÷ 5

х = 0,7

4,6(51 оценок)
Открыть все ответы
Ответ:
Liliii87644
Liliii87644
26.03.2022
Дано: y = \frac{2x^2+1}{x^2} ;
Исследовать функцию и построить график.

Решение:

1) Функция не определена при обращении в ноль знаменателя, т.е. x ≠ 0 .

D(f) ≡ R \ {0} ≡ ( -\infty ; 0 )U( 0 ; +\infty ) ;

2) В функции встречаются только чётные степени аргумента, а значит она чётная. Докажем это:

y(-x) = \frac{ 2(-x)^2 + 1 }{ (-x)^2 } = \frac{2x^2+1}{x^2} = y(x) ;

Найдём первую производную функции y(x) :

y'(x) = ( \frac{2x^2+1}{x^2} )' = ( \frac{ 2x^2 }{x^2} + \frac{1}{x^2} )' = ( 2 + x^{-2} )' = -2 x^{-3} ;

y'(x) = -\frac{2}{x^3} ;

При x = 0, производная y'(x) – не определена, как и сама функция, при всех остальных значениях аргумента функция и её первая производная определены и конечны, а значит функция непрерывная на всей области определения D(f) – на всей числовой прямой, кроме ноля.

3) Функция не определена при x = 0 . Это точка разрыва. При этом её значение стремится к положительной бесконечности, что легко доказать:

\lim_{x \to 0} y(x) = \lim_{x \to 0} \frac{2x^2+1}{x^2} = \lim_{x \to 0} 2 + \lim_{x \to 0} \frac{1}{x^2} = 2 + \infty = +\infty ;

Если приравнять функцию к нолю, получим:

y(x) = 0 ;

\frac{2x^2+1}{x^2} = 0 ;

2 + \frac{1}{x^2} = 0 ;

( \frac{1}{x} )^2 = -2 – что невозможно ни при каких действительных значениях аргумента;

Значит, никаких пересечений графика с осями координат нет.

4. Найдем асимптоты y(x).

По найденному в (3) пределу, ясно, что линия x = 0 – является вертикальной двухсторонней асимптотой графика функции y(x) .

Посмотрим, что происходит с функцией y(x) при устремлении аргумента к ± \infty :

\lim_{x \to \infty} y(x) = \lim_{x \to \infty} \frac{2x^2+1}{x^2} = \lim_{x \to \infty} 2 + \lim_{x \to \infty} \frac{1}{x^2} = 2 + 0 = 2 ;

Значит, уходя на бесконечность обоих знаков график функции y(x) имеет двунаправленную горизонтальную асимптоту y = 2 ;

Наклонных асимптот нет, и не может быть, так как есть горизонтальные с обеих сторон.

5. Первая производная функции y(x) :

y'(x) = -\frac{2}{x^3} – положительна при отрицательных значениях аргумента и отрицательна при положительных х ;

Значит, функция возрастает на ( -\infty ; 0 ) и убывает на ( 0 ; +\infty ) ;

Уравнение y'(x) = 0 т.е. y'(x) = -\frac{2}{x^3} – не имеет решений, а значит, у функции нет экстремумов, т.е. конечных локальных минимумов или максимумов.

6. Найдём вторую производную функции y(x) :

y''(x) = (y'(x))' = ( -\frac{2}{x^3} )' = -2 ( x^{-3} )' = -2*(-3)*x^{-4} ;

y''(x) = \frac{6}{x^4} 0 при любых значениях аргумента ;

В силу общей положительности второй производной – график функции всегда «улыбается», т.е. он вогнут, или, говоря иначе: он закручивается против часовой стрелки на всём своём протяжении при проходе по числовой оси аргументов слева направо.

Поскольку выгнутость повсеместна, то и точек перегиба не может быть. И их нет, соответственно.

7.

При х = ± 1 : : : y(x) = 3 ;

При х = ± 2 : : : y(x) = 3.25 ;

При х = ± 1/2 : : : y(x) = 6 ;

Строим график:

Построить график построить график функции y = (2x^2+1)/x^2 по следующему алгоритму: 1) область опред
4,5(21 оценок)
Ответ:
YulyaDremina
YulyaDremina
26.03.2022
Дано: y = \frac{2x^2+1}{x^2} ;
Исследовать функцию и построить график.

Решение:

1) Функция не определена при обращении в ноль знаменателя, т.е. x ≠ 0 .

D(f) ≡ R \ {0} ≡ ( -\infty ; 0 )U( 0 ; +\infty ) ;

2) В функции встречаются только чётные степени аргумента, а значит она чётная. Докажем это:

y(-x) = \frac{ 2(-x)^2 + 1 }{ (-x)^2 } = \frac{2x^2+1}{x^2} = y(x) ;

Найдём первую производную функции y(x) :

y'(x) = ( \frac{2x^2+1}{x^2} )' = ( \frac{ 2x^2 }{x^2} + \frac{1}{x^2} )' = ( 2 + x^{-2} )' = -2 x^{-3} ;

y'(x) = -\frac{2}{x^3} ;

При x = 0, производная y'(x) – не определена, как и сама функция, при всех остальных значениях аргумента функция и её первая производная определены и конечны, а значит функция непрерывная на всей области определения D(f) – на всей числовой прямой, кроме ноля.

3) Функция не определена при x = 0 . Это точка разрыва. При этом её значение стремится к положительной бесконечности, что легко доказать:

\lim_{x \to 0} y(x) = \lim_{x \to 0} \frac{2x^2+1}{x^2} = \lim_{x \to 0} 2 + \lim_{x \to 0} \frac{1}{x^2} = 2 + \infty = +\infty ;

Если приравнять функцию к нолю, получим:

y(x) = 0 ;

\frac{2x^2+1}{x^2} = 0 ;

2 + \frac{1}{x^2} = 0 ;

( \frac{1}{x} )^2 = -2 – что невозможно ни при каких действительных значениях аргумента;

Значит, никаких пересечений графика с осями координат нет.

4. Найдем асимптоты y(x).

По найденному в (3) пределу, ясно, что линия x = 0 – является вертикальной двухсторонней асимптотой графика функции y(x) .

Посмотрим, что происходит с функцией y(x) при устремлении аргумента к ± \infty :

\lim_{x \to \infty} y(x) = \lim_{x \to \infty} \frac{2x^2+1}{x^2} = \lim_{x \to \infty} 2 + \lim_{x \to \infty} \frac{1}{x^2} = 2 + 0 = 2 ;

Значит, уходя на бесконечность обоих знаков график функции y(x) имеет двунаправленную горизонтальную асимптоту y = 2 ;

Наклонных асимптот нет, и не может быть, так как есть горизонтальные с обеих сторон.

5. Первая производная функции y(x) :

y'(x) = -\frac{2}{x^3} – положительна при отрицательных значениях аргумента и отрицательна при положительных х ;

Значит, функция возрастает на ( -\infty ; 0 ) и убывает на ( 0 ; +\infty ) ;

Уравнение y'(x) = 0 т.е. y'(x) = -\frac{2}{x^3} – не имеет решений, а значит, у функции нет экстремумов, т.е. конечных локальных минимумов или максимумов.

6. Найдём вторую производную функции y(x) :

y''(x) = (y'(x))' = ( -\frac{2}{x^3} )' = -2 ( x^{-3} )' = -2*(-3)*x^{-4} ;

y''(x) = \frac{6}{x^4} 0 при любых значениях аргумента ;

В силу общей положительности второй производной – график функции всегда «улыбается», т.е. он вогнут, или, говоря иначе: он закручивается против часовой стрелки на всём своём протяжении при проходе по числовой оси аргументов слева направо.

Поскольку выгнутость повсеместна, то и точек перегиба не может быть. И их нет, соответственно.

7.

При х = ± 1 : : : y(x) = 3 ;

При х = ± 2 : : : y(x) = 2.25 ;

При х = ± 1/2 : : : y(x) = 6 ;

Строим график:

Построить график построить график функции y = (2x^2+1)/x^2 по следующему алгоритму: 1) область опред
4,5(44 оценок)
Это интересно:
logo
Вход Регистрация
Что ты хочешь узнать?
Спроси Mozg
Открыть лучший ответ