1.
б) 28, 93 + (37, 386 + (4, 38 - 1, 52) = 69, 176.
1) 4, 38 - 1, 52 = 2, 86.
2) 37, 386 + 2, 86 = 40, 246.
3) 28, 93 + 40, 246 = 69, 176.
а) 3, 834 + (2, 487 - 1,346) = 4, 975.
1) 2, 487 - 1, 346 = 1, 141.
2) 3, 834 + 1, 141 = 4, 975.
---
2.
б) 3,12*x - 2,11*х= 3,03.
1) (3,12 - 2,11)x = 3,03.
2) 1,01x = 3,03.
3) x = 3,03 : 1,01.
4) x = 3.
а) 4,41*x + 2,01*х= 12,84.
1) (4,41 + 2,01)x = 12,84.
2) 6,42x = 12,84.
3) x = 12,84 : 6,42.
4) x = 2.
---
3.
до единиц:
а) 32.
б) 0.
а) 386.
до десятых:
а) 32,1.
б) 0,5.
а) 385,6.
до сотых:
а) 32,06.
б) 0,48.
а) 385,59.
---
4.
Ск. подводной лодки — 14 км/ч.
Ск. течения — 8,5 км.
1) 14 + 8,5 = 22,5 (км/ч) — по течению.
2) 14 - 8,5 = 5,5 (км/ч) — против течения.
ответ: по течению — 22,5 км/ч., а против — 5,5 км/ч.

Решение:
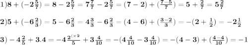
ответ: 1) 5 целых 2/7; 2) - 2 целых 1/2; 3) - 1