М
Молодежь
К
Компьютеры-и-электроника
Д
Дом-и-сад
С
Стиль-и-уход-за-собой
П
Праздники-и-традиции
Т
Транспорт
П
Путешествия
С
Семейная-жизнь
Ф
Философия-и-религия
Б
Без категории
М
Мир-работы
Х
Хобби-и-рукоделие
И
Искусство-и-развлечения
В
Взаимоотношения
З
Здоровье
К
Кулинария-и-гостеприимство
Ф
Финансы-и-бизнес
П
Питомцы-и-животные
О
Образование
О
Образование-и-коммуникации
VaDiMiR3000
VaDiMiR3000
22.01.2020 12:24 •  Математика

Мерзляк, 6 класс номер 341
только цифру 3​

👇
Ответ:
Subhinur
Subhinur
22.01.2020

Пошаговое объяснение:

3)

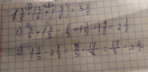
1 \frac{3}{5} \times ( \frac{3}{4} + 1 \frac{3}{8}) = 1 \frac{3}{5} \times ( \frac{6}{8} + 1 \frac{3}{8}) = 1 \frac{3}{5} \times 2 \frac{1}{8} = \frac{8}{5} \times \frac{17}{8} = \frac{17}{5} = 3 \frac{2}{5}

4,4(24 оценок)
Ответ:
yuryklepikov
yuryklepikov
22.01.2020

вот. )))))))))))))))))


Мерзляк, 6 класс номер 341только цифру 3​
4,5(38 оценок)
Открыть все ответы
Ответ:
ruslan2003185
ruslan2003185
22.01.2020
Дано:
В двух аквариумах - 11 рыбок
В первом - х+3
Во втором - х
                                                 Решение:
                                                х+3+х=11
                                                2х+3=11
                                                2х=11-3
                                                2х=8
                                                х=8:2
                                                х=4 

 ответ:
4 (рыбки во втором аквариуме)
4+3=7 (рыбок в первом аквариуме)

                                        
4,5(28 оценок)
Ответ:
Ксения1802
Ксения1802
22.01.2020
Только средний со средним, крайний с крайним.

Да она останется верной, потому что вторая часть пропорции это та же первая часть только в прогрессии и поэтому пропорция останется верной.

Масштаб - это отношение длины отрезка на карте, плане или чертеже к соответствующей ему реальной длине на местности.
пять к одному (5:1) и один к пятидесяти (1:50)

Расстояние от цетра шара до его окружности - радиус (R), расстояние между двумя точками окружности, проходящее через центр шара - диаметр (D). Cфера - Шар или его внутренняя поверхность

Координатная прямая - это прямая на которой:
отмечена точка, принятая за начало отсчета,
положительное направление этой прямой
и масштаб - единичный отрезок.
Прямую с выбранными на ней началом отсчета, единичным отрезком и направлением называют координатной прямой.
Слева от начала эти числа называются отрицательными ,а справа положительными

1.) ответ - a
2.) ответ - b

1)Все кроме дробных
2)МОДУЛЬ- это расстояние
от нуля до точки на числовой прямой. соответствующей данному числу.
3)|x|
4)|a|=a
|-a|=a
|0|=0
5)модуль отрицательного числа будет это число но со знаком "+"
6)Модуль не может.

Число по модулем - может.

Но по модулю оно все равно положительное

|-20| = 20
4,8(82 оценок)
Новые ответы от MOGZ: Математика
logo
Вход Регистрация
Что ты хочешь узнать?
Спроси Mozg
Открыть лучший ответ