М
Молодежь
К
Компьютеры-и-электроника
Д
Дом-и-сад
С
Стиль-и-уход-за-собой
П
Праздники-и-традиции
Т
Транспорт
П
Путешествия
С
Семейная-жизнь
Ф
Философия-и-религия
Б
Без категории
М
Мир-работы
Х
Хобби-и-рукоделие
И
Искусство-и-развлечения
В
Взаимоотношения
З
Здоровье
К
Кулинария-и-гостеприимство
Ф
Финансы-и-бизнес
П
Питомцы-и-животные
О
Образование
О
Образование-и-коммуникации
yannappp1
yannappp1
05.02.2023 10:07 •  Математика

1-2.6х-(0.7х+3)=5.7 за 8 пкт + 3 наи

👇
Ответ:
lfybk2001zp099tv
lfybk2001zp099tv
05.02.2023

файл

========================


1-2.6х-(0.7х+3)=5.7 за 8 пкт + 3 наи
4,7(70 оценок)
Ответ:
evgehamorozov
evgehamorozov
05.02.2023

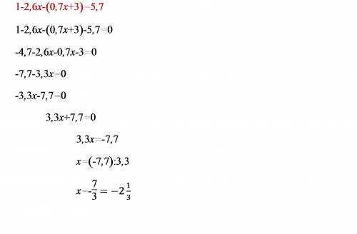
1-2,6х-0,7х-3=5,7

-3,3х=5,7+3-1

-3,3х=7,7

х=7,7:(-3,3)

х=-77/33

х=-7/3

х=-2целых1/3 

4,5(70 оценок)
Открыть все ответы
Ответ:
Милкович11
Милкович11
05.02.2023
Самое большое число, на которое делятся все какие-либо данные числа, это их наибольший общий делитель -НОД
Определение: 
Делитель натурального числа a — это такое натуральное число, на которое данное число a делится без остатка 
Чтобы найти НОД (наибольший общий делитель) двух или более натуральных чисел нужно: 
1) разложить данные  числа на простые множители:
32=2*16=2*2*8=2*2*2*2
48=3*16=3*2*2*2*2  или
32={2,2,2,2}
48={3,2,2,2,,2}
Одинаковые множители - четыре двойки.
Произведение одинаковых простых множителей данных чисел 
2*2*2*2*=16- это и есть самое большое число, т.е. наибольший общий делитель , на которое нацело делятся и 32, и 48
4,7(93 оценок)
Ответ:
sanek48rus1
sanek48rus1
05.02.2023

 Свое свободное время я провожу с пользой для себя. У меня в комнате стоит огромный книжный шкаф. Половина книг мне достается по наследству от родителей, бабушек и дедушек. Книжный магазин мое самое часто посещаемое место. При каждом посещении книжного магазина я покупаю сразу несколько книг.

       Раньше я предпочитал читать исключительно фантастику, но последнее время я отдаю предпочтение детективам. Моя любимая книга из жанра фантастики была “Сталкер”. Автор этой книги Борис Стругацкий. Я читал всю серию его книг от начала до конца. Ну, а сейчас я предпочитаю читать книги Дарьи Донцовой. Ее книги действительно очень интересны и подвластны пониманию всем возрастам.

       Также в свободное время я смотрю телевизор. Моей любимой телепередачей является “Умники и умницы”. В ней я узнаю очень много новых вещей. Например, на днях я узнал, что Сталин заранее знал, когда начнется война. Конечно, это мне кажется не правда, но так кажется только мне. 
В свое свободное время я люблю гулять с друзьями. Зимой мы часто ходим на каток, а летом играем в футбол. Раньше я играл в местной футбольной команде, в которой мне очень нравилось. После тренировки мы ходили в кафе и весело проводили время.

       Во время каникул я часто ходил в кино. Моим любимым фильмом был “Тор”. Он очень интересный и познавательный. Здесь рассказывается о том, что два брата не поделили трон и стала развиваться военная обстановка между мирами. В зимние каникулы мы с моей семьей ездим кататься на лыжах. Мне очень нравится разгоняться и ехать с горки по лыжне. Скорость набирается, а ветерок обжигает холодные щеки. После лыж я прихожу весь холодный и голодный. Мама сразу готовит ужин, и мы согреваемся, а заодно наедаемся.

       Два – три раза в месяц я обязательно хожу в бассейн, так как, плавая в воде, мы сжигаем лишние килокалории и укрепляем свое здоровье. После бассейна я чувствую себя на высоте и во все оружие. После плавания я иду в тренажерный зал и пытаюсь выжать из себя весь пот. Тренировка в свободное время – это что – то невообразимое.

       Если на вечер мне задали не много уроков, то я сажусь играть в компьютер. Я не очень помешан на игровой индустрии, но часок другой точно пропускаю у компьютера. Также за ним я общаюсь со многими друзьями, с которыми я не могу увидеться, и делюсь с ними впечатлениями за день.

       Перед сном я обязательно читаю две – три странички своей любимой книги и ложусь спать.

4,5(38 оценок)
Это интересно:
Новые ответы от MOGZ: Математика
logo
Вход Регистрация
Что ты хочешь узнать?
Спроси Mozg
Открыть лучший ответ