М
Молодежь
К
Компьютеры-и-электроника
Д
Дом-и-сад
С
Стиль-и-уход-за-собой
П
Праздники-и-традиции
Т
Транспорт
П
Путешествия
С
Семейная-жизнь
Ф
Философия-и-религия
Б
Без категории
М
Мир-работы
Х
Хобби-и-рукоделие
И
Искусство-и-развлечения
В
Взаимоотношения
З
Здоровье
К
Кулинария-и-гостеприимство
Ф
Финансы-и-бизнес
П
Питомцы-и-животные
О
Образование
О
Образование-и-коммуникации
Valentina54
Valentina54
28.06.2020 20:56 •  Математика

Найдите производную функции:
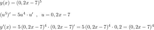
y(x)=(0,2x-7)^5

👇
Ответ:
mazaliaopera
mazaliaopera
28.06.2020

y(x)=(0,2x-7)^5\\\\(u^5)'=5u^4\cdot u'\; \; ,\; \; u=0,2x-7\\\\y'(x)=5\, (0,2x-7)^4\cdot (0,2x-7)'=5\, (0,2x-7)^4\cdot 0,2=(0,2x-7)^4

4,7(30 оценок)
Открыть все ответы
Ответ:
rudneva04
rudneva04
28.06.2020
1.Выражает зависимость одних переменных величин от других. Функция — это соответствие между двумя множествами, при котором каждому элементу одного множества соответствует единственный элемент другого множества. ... Множество значений D, которые может принимать x, называется областью определения функции.
2.Зависимость одной переменной у от другой х, при которой каждому значению переменной х из определенного множества D соответствует единственное значение переменной у, называется функциональной зависимостью или функцией.
3.Читается как "Y равно функция от икс"
4.Аргумент - это независимая переменная
5.Область определения или область задания функции — множество, на котором задаётся функция.
6.Значения, которые может принимать функция.
7.Эту запись следует понимать так:
имеется выражение f(а) с переменной А, с которого находятся значения переменной B.
8.Область значений (или множество значений) функции — множество, состоящее из всех значений, которые принимает функция.
4,7(69 оценок)
Ответ:
kudar2
kudar2
28.06.2020
Нам были знакомы другие фильмы Голливуда, французские и итальянские фильмы. Но, может быть по простоте изложения, или потому, что он такой же бедный, как и мы, Чаплин оставался всегда желанным. Фильмы с его участием привлекали и молодых, и старых, безграмотных и образованных. Многие годы на экранах нашей страны мы видели вселяющего в нас надежду на лучшее Чарли Чаплина. Герои Чаплина бедные и беззащитные, и многие из нас были бедными и беззащитными. Он преодолевал трудности и нам казалось, что мы тоже сможем пережить тяжелые времена. Нам передавалась его вера в добро и человечность. Его фильмы внушали оптимизм и создавали хорошее настроение. В силу нашего менталитета нас волновали мелодраматичные фильмы. Правда критики упрекали Чаплина за излишнюю сентиментальность, излишнюю чувствительность. Однако нельзя забывать, что расцвет творчества Чаплина приходится на расцвет немого кино, в котором был уместным эмоциональный, впечатляющий драматизм и другие выразительные средства воздействия. Дополнения, которые пришли позже к кинопоказу, звук и музыка, диалоги и спецэффекты, в конце концов. Все это раньше было сосредоточено в игре и сюжете актеров немого кино.Знакомство с творчеством Чарльза Чаплина предполагает изучение кинематографа в целом. Фильмы Чаплина основаны на реальности, которую воспринимает Чаплин, событиях и проблемах своего времени. Им показывается жизнь «маленького человека» в эпизодах, сценах и ситуациях обычных по содержанию и необычных в выражениях и переплетениях.Заботы и радости у людей общие, поэтому Чаплина понимают и принимают везде. У людей одинаковое отношение к добру и злу, юмору и грусти.
4,8(37 оценок)
Это интересно:
Новые ответы от MOGZ: Математика
logo
Вход Регистрация
Что ты хочешь узнать?
Спроси Mozg
Открыть лучший ответ