М
Молодежь
К
Компьютеры-и-электроника
Д
Дом-и-сад
С
Стиль-и-уход-за-собой
П
Праздники-и-традиции
Т
Транспорт
П
Путешествия
С
Семейная-жизнь
Ф
Философия-и-религия
Б
Без категории
М
Мир-работы
Х
Хобби-и-рукоделие
И
Искусство-и-развлечения
В
Взаимоотношения
З
Здоровье
К
Кулинария-и-гостеприимство
Ф
Финансы-и-бизнес
П
Питомцы-и-животные
О
Образование
О
Образование-и-коммуникации
МарвиСК
МарвиСК
21.08.2020 09:20 •  Математика

Нужна . найти предел \lim_{x \to 0} x^{2} e^{1/x} с решением

👇
Ответ:
нина412
нина412
21.08.2020

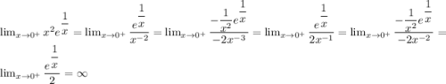
\lim_{x \to 0^+} x^2e^{\dfrac{1}{x}}= \lim_{x \to 0^+} \dfrac{e^{\dfrac{1}{x}}}{x^{-2}}= \lim_{x \to 0^+} \dfrac{-\dfrac{1}{x^2}e^{\dfrac{1}{x}}}{-2x^{-3}}= \lim_{x \to 0^+} \dfrac{e^{\dfrac{1}{x}}}{2x^{-1}}= \lim_{x \to 0^+} \dfrac{-\dfrac{1}{x^2}e^{\dfrac{1}{x}}}{-2x^{-2}}= \lim_{x \to 0^+} \dfrac{e^{\dfrac{1}{x}}}{2}=\infty

\lim_{x \to 0^-} x^2e^{\dfrac{1}{x}}= \lim_{x \to 0^-} \dfrac{x^2}{e^{\dfrac{1}{-x}}}=[\dfrac{0}{e^\infty}]=0

Односторонние пределы не равны между собой, а значит предел в точке 0 не существует.

4,6(3 оценок)
Открыть все ответы
Ответ:
XaMeJIuoH
XaMeJIuoH
21.08.2020
1). (26,4+42,6+31,8+15)/4=28,95
2.) 600*0,24=144 кг
3.) 18/40*100=45 км
4.) 1,5 х 34 = 51
2,5 х 30 = 75
75+51 =126
1,5+2,5=4
126:4 = 31.5 км в час
5) В 1 день оператор набрал  0,35*60=21  страницу.Во 2 день :  21 стр. - 70% от 2-го дня                     х стр.  -  100%Тогда во 2 день оператор набрал  х=21*100/70=30 страницВ 3 день оператор набрал  60-21-30=9 страниц.6) пусть всего было х порций мороженого, тогда за 1 час продано 0,84х порций, за 2-ой час продано (х-0,84х)*0,78=0,16х*0,78=0,1248х0,84х+0,1248х+44=х0,9648х+44=хх-0,9648х=440,0352х=44х=44:0,0352х=1250ответ: 1250 порций мороженого продано за 3 часа
№1(43.6+21.8+32,4+11)/4=27.2№240/100*15=6(га)№372*100/24=300(км)№4(15.3*2+12.4*3)/(2+3)=13.56№51)320/100*30=96(м3)-12)96*100/80=120(м3)-23)320-(120+96)=104(м3)-3№6Пусть х равен всему,тогда 1 д равен 0.2х,2д равен 0.8*0.6хх=0.2х+(0.8х*0.6х)+24х=0.2х+0.48х+241х-0.2х-0.48х=240.32х=24х=24/0.32х=75(км)ответ:75км
4,8(16 оценок)
Ответ:

1) 0,07=7%

2) 0,89=89%

3) 0,4=40%

4) 1,125=1112,5%

5) 2%=0,02

6) 80%=0,8

7) 33%=0,33

8) 132,4%=1,324

9) 600:100=6

   6*14=84

10) 5:100=0,05

     0,05*18=0,9

11) 96:12*100=800

12)8,4:28*100=30

1. 600:100=6

  6*24=84

2. 18:40%=0,45

   0,45*100=45

3. 100-46-32=22% - 3 час

   66:22=3(порц) 1%

   3*100%= 300(порц) 100% всего.

   3*46=138(порц) 1 час

   3*32=96(порц) 2 час

   138+96+66=300

   ответ: 300 порций продано

5. В первый день оператор набрал:60*35:100=21стр

   Во второй день оператор набрал:21:70*100=30стр

   В третий день оператором было набрано:60-21-30=9стр

   ответ:9 страниц

4. х - дыни = 35%

   х+126 - арбузы= 65%

   Следовательно:

   126 - 30% (т.к.65%-35%=30%)

   126 - 30%

   у - 100%  (за у принимаем общее количество дынь и арбузов

   у = 1260 : 3 = 420 (ц)

   ответ: 420 центнеров.

4,6(98 оценок)
Новые ответы от MOGZ: Математика
logo
Вход Регистрация
Что ты хочешь узнать?
Спроси Mozg
Открыть лучший ответ