М
Молодежь
К
Компьютеры-и-электроника
Д
Дом-и-сад
С
Стиль-и-уход-за-собой
П
Праздники-и-традиции
Т
Транспорт
П
Путешествия
С
Семейная-жизнь
Ф
Философия-и-религия
Б
Без категории
М
Мир-работы
Х
Хобби-и-рукоделие
И
Искусство-и-развлечения
В
Взаимоотношения
З
Здоровье
К
Кулинария-и-гостеприимство
Ф
Финансы-и-бизнес
П
Питомцы-и-животные
О
Образование
О
Образование-и-коммуникации
Dragnil29
Dragnil29
18.10.2020 10:38 •  Математика

Вычислить координаты точки м(x; y; z), если ее радиус-вектор составляет с осями oy и oz углы 45° и 90°, а его длина равна 12.

👇
Ответ:
eeee1931
eeee1931
18.10.2020

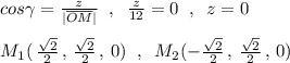
M(x;y;z)\; \; ,\; \; |\overline {OM}|=12\; \; ,\; \; \beta =45^\circ \; \; ,\; \; \gamma =90^\circ \\\\cos^2\alpha +cos^2\beta +cos^2\gamma =1\\\\cos^2\alpha +cos^245^\circ +cos^290^\circ =1\\\\cos^2\alpha +\frac{1}{2}+0=1\; \; \to cos^2\alpha =\frac{1}{2}\; ,\; \; cos\alpha =\pm \frac{\sqrt2}{2}\\\\\\cos\alpha =\frac{x}{|\overline {OM}|}=\pm \frac{\sqrt2}{2}\; \; \Rightarrow \; \; \frac{x}{12}=\pm \frac{\sqrt2}{2}\; \; ,\; \; x=\pm 6\sqrt2\\\\cos\beta =\frac{y}{|\overline {OM}|}=\frac{\sqrt2}{2}\; \; ,\; \; \frac{y}{12}=\frac{\sqrt2}{2}\; \; ,\; \; y=6\sqrt2

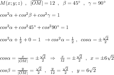
cos\gamma =\frac{z}{|\overline {OM}|}\; \; ,\; \; \frac{z}{12}=0\; \; ,\; \; z=0\\\\M_1(\, \frac{\sqrt2}{2}\, ,\, \frac{\sqrt2}{2}\, ,\, 0)\; \; ,\; \; M_2(-\frac{\sqrt2}{2}\, ,\, \frac{\sqrt2}{2}\, ,\, 0)

4,4(94 оценок)
Ответ:
Дима51497
Дима51497
18.10.2020
Для решения данной задачи нам потребуется использовать геометрические понятия и свойства.

У нас есть точка M с радиус-вектором, который составляет углы 45° и 90° с осями oy и oz соответственно.

Первым шагом необходимо определить координаты точки M. Заметим, что радиус-вектор M является гипотенузой прямоугольного треугольника со сторонами, параллельными осям координат.

Длина радиус-вектора M равна 12, следовательно, гипотенуза треугольника равна 12. По теореме Пифагора в прямоугольном треугольнике гипотенуза в квадрате равна сумме квадратов катетов:

12^2 = x^2 + y^2 + z^2

Теперь в зависимости от значений углов, найдем значения катетов.

Угол между радиус-вектором M и осью oy равен 45°. Этот угол можно представить как угол между радиус-вектором M и проекцией радиус-вектора на плоскость, перпендикулярную оси Oy.

Для нахождения координаты y заметим, что полученный треугольник с проекцией радиус-вектора теперь прямоугольный треугольник с катетом y и гипотенузой 12. Согласно теореме Пифагора:

12^2 = y^2 + z^2

Угол между радиус-вектором M и осью oz равен 90°. Это означает, что радиус-вектор M лежит на оси oz и его координата x равна 0.

Таким образом, у нас есть два уравнения:

1) 12^2 = x^2 + y^2 + z^2
2) 12^2 = y^2 + z^2

Теперь мы можем решить систему уравнений и найти значения для y и z.

Из уравнения (2) получим выражение для y в зависимости от z:

y^2 = 12^2 - z^2
y = √(12^2 - z^2)

Подставим это значение y в уравнение (1):

12^2 = x^2 + (√(12^2 - z^2))^2 + z^2
144 = x^2 + 144 - z^2 + z^2
144 - 144 = x^2
0 = x^2
x = 0

Таким образом, мы получаем координаты точки M: x = 0, y = √(12^2 - z^2), z - еще неизвестная координата.

Теперь нужно найти значение координаты z. Для этого возьмем уравнение (2):

12^2 = y^2 + z^2
12^2 = (√(12^2 - z^2))^2 + z^2
144 = 12^2 - z^2 + z^2
144 = 144

Уравнение 144 = 144 является тождественным верным, значит независимо от значения z, оно всегда будет соблюдаться.

Таким образом, у нас есть бесконечное число возможных значений для z.

Итак, координаты точки M равны: x = 0, y = √(12^2 - z^2), где z - произвольное число.

В данной задаче нет однозначного ответа для координат точки M. Ответ будет представлять собой множество точек на оси Oz.
4,6(11 оценок)
Проверить ответ в нейросети
Новые ответы от MOGZ: Математика
Полный доступ к MOGZ
Живи умнее Безлимитный доступ к MOGZ Оформи подписку
logo
Вход Регистрация
Что ты хочешь узнать?
Спроси Mozg
Открыть лучший ответ