М
Молодежь
К
Компьютеры-и-электроника
Д
Дом-и-сад
С
Стиль-и-уход-за-собой
П
Праздники-и-традиции
Т
Транспорт
П
Путешествия
С
Семейная-жизнь
Ф
Философия-и-религия
Б
Без категории
М
Мир-работы
Х
Хобби-и-рукоделие
И
Искусство-и-развлечения
В
Взаимоотношения
З
Здоровье
К
Кулинария-и-гостеприимство
Ф
Финансы-и-бизнес
П
Питомцы-и-животные
О
Образование
О
Образование-и-коммуникации
SERGUES
SERGUES
13.01.2021 04:03 •  Математика

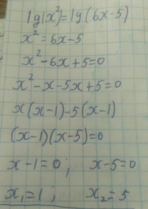
Решенте уравнение
lg x^2=lg(6x-5)​

👇
Ответ:
лис8889
лис8889
13.01.2021

Решение на фото.......


Решенте уравнениеlg x^2=lg(6x-5)​
4,6(9 оценок)
Открыть все ответы
Ответ:
vika200920001
vika200920001
13.01.2021

А) 22 км.

Б) 32 км.

Пошаговое объяснение:

А. Дано:

Скорость лодки = 13,5 км/ч

Скорость течения = 2,5 км/ч

Время пути = 2 часа

Лодка плывёт против течения.

Найти: расстояние.

1) 13,5 км/ч -  2,5 км/ч = 11 (км/ч) - скорость лодки с учётом того, что она плывет против течения;

2) 11 км/ч * 2 ч = 22 (км) - рас стояние, которое проплывёт лодка.

ответ: лодка проплывёт 22 километра за 2 часа, если плывёт против течения.

Б. Дано:

Скорость лодки = 13,5 км/ч

Скорость течения = 2,5 км/ч

Время пути = 2 часа

Лодка плывёт по течению.

Найти: расстояние.

1) 13,5 км/ч + 2,5 км/ч = 16 (км/ч) - скорость лодки с учётом того, что она плывет за течением;

2) 16 км/ч * 2 ч = 32 (км) - расстояние, которое проплывёт лодка.

ответ: лодка проплывёт 32 километра за 2 часа, если плывёт за течением.

4,4(45 оценок)
Ответ:
Admiralchik29
Admiralchik29
13.01.2021

Десятирублевок = 50 шт

Пятидесятирублевых = 200 шт

Пошаговое объяснение:

Дано :

имеются купюры: по 10 руб и по 50 руб

Купюр по 10 руб - в 4 раза меньше, чем купюр по 50 руб

ВСЕГО: 10 500 руб.

Найти:

Сколько купюр по 10 руб и сколько по 50 руб?

Очевидно, что

Купюра в 50 руб - в 5 раз больше (дороже), чем купюра в 10 руб.

Купюр по 50 руб - в 4 раза больше, чем купюр по 10 руб.

А значит, общая сумма денег 50рублевками больше в:

5 (разница номинала) • 4 (разница количества) раз.

5•4 = 20

То есть на ВСЮ СУММУ денег приходится:

20 частей - 50 рублевками

1 часть - 10 рублевками

То есть всего - 21 часть

Посчитаем сумму десяток:

Десяток 1 часть из 21 частей всей суммы.

То есть десятками у нас:

10500 ÷ 21 = 500 рублей

А самих купюр по 10 руб:

500 ÷ 10 = 50 шт.

А полтинниками - все остальное:

10500 - 500 = 10000 руб

А самих купюр по 50 руб:

10000 ÷ 50 = 200 шт.

Все сходитсЯ.

Десятирублевок = 50 шт

Пятидесятирублевых = 200 шт

4,7(78 оценок)
Это интересно:
Новые ответы от MOGZ: Математика
logo
Вход Регистрация
Что ты хочешь узнать?
Спроси Mozg
Открыть лучший ответ