М
Молодежь
К
Компьютеры-и-электроника
Д
Дом-и-сад
С
Стиль-и-уход-за-собой
П
Праздники-и-традиции
Т
Транспорт
П
Путешествия
С
Семейная-жизнь
Ф
Философия-и-религия
Б
Без категории
М
Мир-работы
Х
Хобби-и-рукоделие
И
Искусство-и-развлечения
В
Взаимоотношения
З
Здоровье
К
Кулинария-и-гостеприимство
Ф
Финансы-и-бизнес
П
Питомцы-и-животные
О
Образование
О
Образование-и-коммуникации
M10041999
M10041999
08.10.2021 12:53 •  Математика

Обращаюсь к тем кто шарит в ! ! ​
надо выражение!

👇
Ответ:

Пошаговое объяснение:

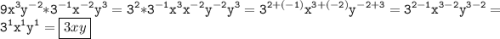
\tt\displaystyle \[9{x^3}{y^{-2}}*{3^{-1}}{x^{-2}}{y^3}={3^2}*{3^{-1}}{x^3}{x^{-2}}{y^{-2}}{y^3}={3^{2+(-1)}}{x^{3+(-2)}}{y^{-2+3}}={3^{2-1}}{x^{3-2}}{y^{3-2}}={3^1}{x^1}{y^1}=\boxed{3xy}\]

4,5(81 оценок)
Открыть все ответы
Ответ:
helloiSashA
helloiSashA
08.10.2021

вот

Пошаговое объяснение:

Решение задачи.

1. Найдем общий делитель чисел 344 и 473.

344 = 8 * 43.

473 = 11 * 43.

Общий делитель чисел 344 и 473 равен 43.

2. Сколько пассажиров было в одном автобусе?

43 пассажира.

3. Найдем количество автобусов, на которых работники завода поехали в лес.

344 : 43 = 8 автобусов.

4. Найдем количество автобусов, на которых работники завода поехали на озеро.

473 : 43 = 11 автобусов.

5. Найдем, сколько всего автобусов было выделено.

8 + 11 = 19 автобусов.

ответ. В одном автобусе было 43 пассажира. Было выделено 19 автобусов.

4,5(57 оценок)
Ответ:
alinaabpamenko1996
alinaabpamenko1996
08.10.2021

Драку затеял Дима.Возьмем любой из двух правдивых ответов. В нем сказано, что какие-то трое мальчиков драки не затевали, и, значит, драку затеяли не более двух мальчиков. Если драку затеяли двое, то в правдивых ответах они оба не должны упоминаться. Но таких двух ответов нет. Кто-то из мальчиков затеял драку, иначе все сказали правду. Следовательно, инициатором драки был ровно один мальчик. Для того, чтобы ровно три ответа были неправильными, этот мальчик должен быть упомянут ровно в трех ответах.

Такой мальчик только один: Дима.

4,7(96 оценок)
Это интересно:
Новые ответы от MOGZ: Математика
logo
Вход Регистрация
Что ты хочешь узнать?
Спроси Mozg
Открыть лучший ответ