М
Молодежь
К
Компьютеры-и-электроника
Д
Дом-и-сад
С
Стиль-и-уход-за-собой
П
Праздники-и-традиции
Т
Транспорт
П
Путешествия
С
Семейная-жизнь
Ф
Философия-и-религия
Б
Без категории
М
Мир-работы
Х
Хобби-и-рукоделие
И
Искусство-и-развлечения
В
Взаимоотношения
З
Здоровье
К
Кулинария-и-гостеприимство
Ф
Финансы-и-бизнес
П
Питомцы-и-животные
О
Образование
О
Образование-и-коммуникации
AbdurrahmanSam
AbdurrahmanSam
28.03.2021 04:59 •  Математика

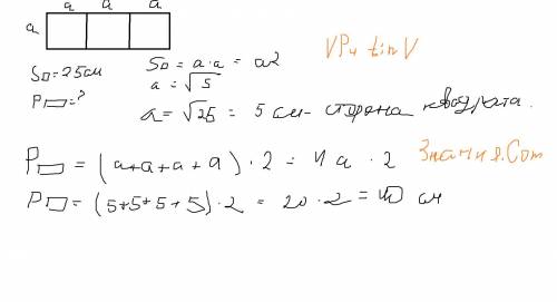
Прямоугольник состоит из трех равных квадратов. найдите периметр прямоугольника, если площадь одна
квадрата равна 25 см.
a) 40 см в) 50 см
с) 60 см d) 75 см

👇
Ответ:
romauaparckhome
romauaparckhome
28.03.2021

A) 40 см

Пошаговое объяснение во вложении:


Прямоугольник состоит из трех равных квадратов. найдите периметр прямоугольника, если площадь одна к
4,6(100 оценок)
Открыть все ответы
Ответ:
ladyled
ladyled
28.03.2021
1)Если синих в 9 раз меньше, чем красных , а черных в 3 раза меньше , чем красных. То синих-1 часть, черных-3 части, красных-9 частей. 1+3+9=13 частей красных , синих и черных. 2)если жёлтых в 7 раз больше, чем зеленых, то 1 часть зеленых и 7 частей желтых. 1+7=8 частей делтых и зеленых. 3) получили выражение, 13*х+8*у=71. , где у и х количество карандашей в частях. 4)Так как эти Х и У независимы друг от друга, назодим их значение методом подбора: 13*3+8*4=71. 5) 4 -количество карандашей в одной части, где желтые и зеленые, то 4*7=28 карандашей желтых. ответ:28 желтых карандашей
4,6(52 оценок)
Ответ:
саша240904
саша240904
28.03.2021

Пусть синих карандашей х

Тогда красных 9х,  черных 3х

На долю зеленых и желтых остается 

71-(9х+3х+х)=71-13 х

Количество зеленых карандашей обозначим у, тогда желтых 7у, вместе их 8у

8у может быть только целым четным числом ( количество карандашей не может выражаться дробью и должно быть кратным 8)

71-13х=8у, где х нечетное число и больше единицы (71-13=58 – не кратно 8). 

Пусть х=3

Тогда 71-39=32

32 кратно 8. 

Тогда зеленых карандашей 32:8=4

 а желтых-7*4=28

(х не может быть равным 5, иначе 8у получится равным 6.

ответ : 28 желтых карандашей. 

4,4(96 оценок)
Это интересно:
Новые ответы от MOGZ: Математика
logo
Вход Регистрация
Что ты хочешь узнать?
Спроси Mozg
Открыть лучший ответ