М
Молодежь
К
Компьютеры-и-электроника
Д
Дом-и-сад
С
Стиль-и-уход-за-собой
П
Праздники-и-традиции
Т
Транспорт
П
Путешествия
С
Семейная-жизнь
Ф
Философия-и-религия
Б
Без категории
М
Мир-работы
Х
Хобби-и-рукоделие
И
Искусство-и-развлечения
В
Взаимоотношения
З
Здоровье
К
Кулинария-и-гостеприимство
Ф
Финансы-и-бизнес
П
Питомцы-и-животные
О
Образование
О
Образование-и-коммуникации
Лимон113848448
Лимон113848448
25.08.2020 18:15 •  Математика

 \frac{18 {}^{4} }{12 {}^{5} }
решить ! ​

👇
Ответ:
XMuhamedKinggX
XMuhamedKinggX
25.08.2020
Не будет целого ответа..
0,421875
4,4(61 оценок)
Ответ:
Блинь
Блинь
25.08.2020

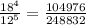
\frac{18^{4} }{12^{5} } = \frac{104 976}{248 832}

Вот так вот.

4,7(11 оценок)
Открыть все ответы
Ответ:
Xylophone
Xylophone
25.08.2020
Er geht nach Deutschland, um Deutsch zu lernen. – Он едет в Германию, чтобы учить немецкий.                                                                                                                  Wir beeilten uns, um den Zug nicht zu verpassen. – Мы спешили, чтобы не опоздать на поезд.

Wir beeilten uns, damit wir den Zug nicht verpassten. – Мы спешили, чтобы мы не опоздали на поезд.                                                                                               Ich habe die Kinder zum Bäcker geschickt, um Brötchen zu holen. – Я послала детей к пекарю, чтобы принести булочки.                                                              Er geht nach Deutschland, ohne die Sprache zu lernen. – Он едет в Германию, не уча язык.                                                                                         Ich rufe ein Taxi, um pünktlich am Bahnhof zu sein. - Я вызываю такси, чтобы быть  вовремя на вокзале.                                                                                     Ich arbeite, um im Sommer zu erholen- Я работаю, чтобы летом отдохнуть.      Geboren um zu leben- рождён, чтобы жить.                                                            Ich lerne viel, um gute note zu bekommen-Я много учусь, чтобы получать хорошие отметки.                                                  Man soll viel Obst und Gemüse essen, um gesund zu bleiben- Нужно есть много фруктов и овощей, чтобы оставаться здоровым.                       Ich habe mein Studium abgebrochen. Ich will mich nach einem Job umsehen-  Я прервал свою учебу, чтобы подыскать себе работу.
4,4(14 оценок)
Ответ:
evdokiya888p06xhz
evdokiya888p06xhz
25.08.2020
Пусть х - скорость велосипедиста. До первой встречи велосипедист ехал 30+10=40 мин, а мотоциклист 10 мин. Поэтому скорость мотоциклиста будет в четыре раза больше, т.е. 4х. 
30 мин=0,5ч
0,5*х - это расстояние, которое проехал велосипедист после первой встречи до второй встречи за полчаса. 
0,5*х+27 км - проехал мотоциклист после первой встречи до второй встречи( на круг больше)
Это же расстояние равно 4х*0,5 км (скорость мотоциклиста умножаем на его время)
0,5*х+27 = 4x*0,5 
х=18 
18 км/ч - скорость велосипедиста 
ответ: 18 км/ч 
4,8(56 оценок)
Новые ответы от MOGZ: Математика
logo
Вход Регистрация
Что ты хочешь узнать?
Спроси Mozg
Открыть лучший ответ