М
Молодежь
К
Компьютеры-и-электроника
Д
Дом-и-сад
С
Стиль-и-уход-за-собой
П
Праздники-и-традиции
Т
Транспорт
П
Путешествия
С
Семейная-жизнь
Ф
Философия-и-религия
Б
Без категории
М
Мир-работы
Х
Хобби-и-рукоделие
И
Искусство-и-развлечения
В
Взаимоотношения
З
Здоровье
К
Кулинария-и-гостеприимство
Ф
Финансы-и-бизнес
П
Питомцы-и-животные
О
Образование
О
Образование-и-коммуникации
Тетяна2401
Тетяна2401
20.02.2023 10:56 •  Математика

X-1/6=1/9; x+5/24=7/12; y+2/5=1/2
рушить уравнения ​

👇
Ответ:
leshchenko1234
leshchenko1234
20.02.2023

1) х-1/6=1/9

х=1/9+1/6

х=2/18+3/18

х=5/18

2) х+5/24=7/12

х=7/12-5/24

х=14/24-5/24

х=9/24 сокращаем и получаем 3/8

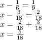
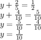
3)у+2/5=1/2

у=1/2-2/5

у=5/10-4/10

у=1/10

4,7(13 оценок)
Ответ:
homie51
homie51
20.02.2023

x - \frac{1}{6} = \frac{1}{9} \\ x - \frac{3}{18} = \frac{2}{18} \\ x = \frac{2}{18} + \frac{3}{18} \\ x = \frac{5}{18}

x + \frac{5}{24} = \frac{7}{12} \\ x + \frac{5}{24} = \frac{14}{24} \\ x = \frac{14}{24} - \frac{5}{24} \\ x = \frac{9}{24} \\ x = \frac{3}{8}

y + \frac{2}{5} = \frac{1}{2} \\ y + \frac{4}{10} = \frac{5}{10} \\ y = \frac{5}{10} - \frac{4}{10} \\ y = \frac{1}{10}

4,5(97 оценок)
Открыть все ответы
Ответ:
Doneore
Doneore
20.02.2023
История Московского Кремля тесно переплетена с важнейшими событиями жизни русского государства. В 12 в. Москва представляла собой маленькое поселение, форпост, защищавший путь к древнему Владимиру. Первую деревянную крепость-кремль (от греч. «кремнос» – «крутой берез реки», «скала») выстроили в 1156 по повелению князя Юрия Долгорукого. Выбор места был продиктован стратегическими соображениями: Кремль на высоком холме при впадении р.Неглинной в р.Москву должен был защищать устья двух судоходных рек – Яузы и Всходни. Не последнюю роль сыграла и красота места. Кремлевский холм был покрыт густым бором, а перед ним расстилались живописные луга, перерезанные петлями рек. Самый древний Кремль занимал небольшую территорию ок. 3–4 га. Кроме деревянных стен, ее защищали рвы и земляные валы.Московский князь Иван Калита (1320–1340-е годы), получивший титул великого князя, значительно расширил Кремль. Внутри новой крепости, обнесенной дубовыми стенами, он основал Соборную площадь, образованную тремя каменными храмами: Успенским собором (1327), церковью Иоанна Лествичника с колокольней (1329) и Архангельским собором (1333). В княжении Ивана Калиты был также построен каменный храм на Бору.При великом князе Дмитрии Донском дубовые стены города были заменены на белокаменные (1366–1368), и Кремль стал первым каменным градом Московского государства. Известно, что новые укрепления имели шесть проездных башен и три глухих круглых угловых башни. В этот период площадь Кремля увеличилась почти до современных размеров. В 1365 вблизи нынешних ворот глава Русской православной церкви митрополит Алексий основал Чудов монастырь. В этот же период на месте современного Большого Кремлевского дворца выстроили великокняжеский терем. В 1393 по заказу вдовы Дмитрия Донского в системе дворца была заложена каменная церковь Рождества Богородицы. Остатки этого дворцового храма являются материальным свидетельством о самой древней фрагментарно дошедшей до нашего времени каменной кремлевской постройке. В 1407 вдова Дмитрия Донского, принявшая постриг под именем Евдокии, основала женский Вознесенский монастырь с соборным храмом Вознесения, расположившимся непосредственно вблизи Чудова.
4,5(90 оценок)
Ответ:
Tasha00000007
Tasha00000007
20.02.2023
Московский Кремль — древнейшая и центральная часть Москвы на Боровицком холме, на левом берегу реки Москва, один из красивейших архитектурных ансамблей мира. Площадь Кремля в плане составляет неправильный треугольник и равна 27,5 га.

Закладка дубовых стен Московского Кремля состоялась 25 ноября 1339 года. История Московского Кремля тесно связана с важнейшими событиями жизни русского государства. В 12 веке Москва представляла собой маленькое поселение, форпост, защищавший путь к Владимиру. В 1156 году по повелению князя Юрия Долгорукого был построен укрепленный центр поселения — Кремль.

Соответственно Юрий Долгорукий
4,6(73 оценок)
Это интересно:
Новые ответы от MOGZ: Математика
logo
Вход Регистрация
Что ты хочешь узнать?
Спроси Mozg
Открыть лучший ответ