М
Молодежь
К
Компьютеры-и-электроника
Д
Дом-и-сад
С
Стиль-и-уход-за-собой
П
Праздники-и-традиции
Т
Транспорт
П
Путешествия
С
Семейная-жизнь
Ф
Философия-и-религия
Б
Без категории
М
Мир-работы
Х
Хобби-и-рукоделие
И
Искусство-и-развлечения
В
Взаимоотношения
З
Здоровье
К
Кулинария-и-гостеприимство
Ф
Финансы-и-бизнес
П
Питомцы-и-животные
О
Образование
О
Образование-и-коммуникации
VladOZmsl
VladOZmsl
25.10.2020 04:47 •  Математика

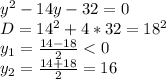
Решить показательное уравнение.

4^x -14*2^x-32=0

👇
Ответ:
стефания31
стефания31
25.10.2020

4^x -14*2^x-32=0\\2^{2x}-14*2^x-32=0

делаем замену:

2^x=y,\ y0

получим:

y^2-14y-32=0\\D=14^2+4*32=18^2\\y_1=\frac{14-18}{2}

обратная замена:

2^x=16\\2^x=2^4\\x=4

ответ: 4

4,6(56 оценок)
Открыть все ответы
Ответ:
крис897
крис897
25.10.2020

а)НОД=2, НОК=252

б)НОД=9, НОК=10989

в)НОД=12, НОК=19656

Пошаговое объяснение:

а) Наибольший общий делитель::

Разложим числа на простые множители и подчеркнем общие множители чисел:

18 = 2 · 3 · 3

28 = 2 · 2 · 7

Общие множители чисел: 2

НОД (18; 28) = 2

Разложим числа на простые множители. Сначала запишем разложение на множители самого большого число, затем меньшее число. Подчеркнем в разложении меньшего числа множители, которые не вошли в разложение наибольшего числа.

28 = 2 · 2 · 7

18 = 2 · 3 · 3

Чтобы определить НОК, необходимо недостающие множители (эти множители подчеркнуты) добавить к множителям большего числа и перемножить их:

НОК (18; 28) = 2 · 2 · 7 · 3 · 3 = 252

б) Разложим числа на простые множители и подчеркнем общие множители чисел:

99 = 3 · 3 · 11

999 = 3 · 3 · 3 · 37

Общие множители чисел: 3; 3

Чтобы найти НОД чисел, необходимо перемножить их общие множители:

НОД (99; 999) = 3 · 3 = 9

Разложим числа на простые множители. Сначала запишем разложение на множители самого большого число, затем меньшее число. Подчеркнем в разложении меньшего числа множители, которые не вошли в разложение наибольшего числа.

999 = 3 · 3 · 3 · 37

99 = 3 · 3 · 11

Чтобы определить НОК, необходимо недостающие множители (эти множители подчеркнуты) добавить к множителям большего числа и перемножить их:

НОК (99; 999) = 3 · 3 · 3 · 37 · 11 = 10989

в) Разложим числа на простые множители и подчеркнем общие множители чисел:

756 = 2 · 2 · 3 · 3 · 3 · 7

312 = 2 · 2 · 2 · 3 · 13

Общие множители чисел: 2; 2; 3

Чтобы найти НОД чисел, необходимо перемножить их общие множители:

НОД (756; 312) = 2 · 2 · 3 = 12

Разложим числа на простые множители. Сначала запишем разложение на множители самого большого число, затем меньшее число. Подчеркнем в разложении меньшего числа множители, которые не вошли в разложение наибольшего числа.

756 = 2 · 2 · 3 · 3 · 3 · 7

312 = 2 · 2 · 2 · 3 · 13

Чтобы определить НОК, необходимо недостающие множители (эти множители подчеркнуты) добавить к множителям большего числа и перемножить их:

НОК (756; 312) = 2 · 2 · 3 · 3 · 3 · 7 · 2 · 13 = 19656

4,7(66 оценок)
Ответ:
Kirill12345qwert
Kirill12345qwert
25.10.2020

Дана система:

{3x+2y-z=2

{5x-y+3z=-10

{4x+y-2z=0.

подстановки.

Складываем второе и третье уравнения.

{5x-y+3z=-10

{4x+y-2z=0

9x   + z = -10, отсюда z = -9x - 10. Подставим в первое уравнение.

3x+2y-(-9x - 10)=2,

3x + 2y + 9x + 10 = 2,

2y = -12x - 8,

y = -6x - 4  подставим в третье уравнение вместе с z = -9x - 10.

4x - 6x - 4 + 18x + 20 = 0,

16x = -16,

x = -16/16 = -1.

y = -6*(-1) - 4 = 2,

z = -9*(-1) - 10 = -1.

2) Метод Крамера.

x y z B 32 Определитель

3 2 -1 2  

5 -1 3 -10  

4 1 -2 0  

Заменяем 1-й столбец на вектор результатов B:      

2 2 -1  -32 Определитель

-10 -1 3    

0 1 -2    

Заменяем 2-й столбец на вектор результатов B:      

3 2 -1  64 Определитель

5 -10 3    

4 0 -2    

Заменяем 3-й столбец на вектор результатов B:      

3 2 2  -32 Определитель

5 -1 -10    

4 1 0    

x = -32 32 -1  

y = 64 32 2  

z = -32 32 -1  

4,4(30 оценок)
Это интересно:
Новые ответы от MOGZ: Математика
logo
Вход Регистрация
Что ты хочешь узнать?
Спроси Mozg
Открыть лучший ответ