М
Молодежь
К
Компьютеры-и-электроника
Д
Дом-и-сад
С
Стиль-и-уход-за-собой
П
Праздники-и-традиции
Т
Транспорт
П
Путешествия
С
Семейная-жизнь
Ф
Философия-и-религия
Б
Без категории
М
Мир-работы
Х
Хобби-и-рукоделие
И
Искусство-и-развлечения
В
Взаимоотношения
З
Здоровье
К
Кулинария-и-гостеприимство
Ф
Финансы-и-бизнес
П
Питомцы-и-животные
О
Образование
О
Образование-и-коммуникации
максим5695
максим5695
23.04.2020 19:30 •  Математика

Вариант 27
в 1-5 вычислить интеграты, применив в 1-4 - метод
непосредственного интегрирования или метод подстановки, в5 – метод
интегрирования по частям.

👇
Ответ:
Iilya9330
Iilya9330
23.04.2020

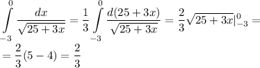
\displaystyle \int\limits^0_{-3}\frac{dx}{\sqrt{25+3x}}=\frac{1}{3}\int\limits^0_{-3}\frac{d(25+3x)}{\sqrt{25+3x}}=\frac{2}{3}\sqrt{25+3x}|^0_{-3}=\\=\frac{2}{3}(5-4)=\frac{2}{3}

\displaystyle \int\limits^{\displaystyle\frac{\pi}{3}}_{\displaystyle 0}tgxdx=\int\limits^{\displaystyle\frac{\pi}{3}}_{\displaystyle 0}\frac{sinx}{cosx}dx=-\int\limits^{\displaystyle\frac{\pi}{3}}_{\displaystyle 0}\frac{d(cosx)}{cosx}=-ln|cosx||^{\displaystyle\frac{\pi}{3}}_{\displaystyle 0}=\\=-ln|cos\frac{\pi}{3}|=-ln\frac{1}{2}=ln2

\displaystyle\int\limits_{\displaystyle\frac{\pi}{2}}^{\displaystyle \pi}cos^2xsinxdx=-\int\limits_{\displaystyle\frac{\pi}{2}}^{\displaystyle \pi}cos^2xd(cosx)=-\frac{cos^3x}{3}|_{\displaystyle\frac{\pi}{2}}^{\displaystyle \pi}=\frac{1}{3}

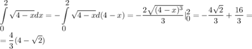
\displaystyle \int\limits^{\displaystyle 2}_{\displaystyle 0}\sqrt{4-x}dx=-\int\limits^{\displaystyle 2}_{\displaystyle 0}\sqrt{4-x}d(4-x)=-\frac{2\sqrt{(4-x)^3}}{3}|\limits^{\displaystyle 2}_{\displaystyle 0}=-\frac{4\sqrt2}{3}+\frac{16}{3}=\\=\frac{4}{3}(4-\sqrt2})

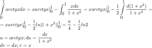
\displaystyle \int\limits^{\displaystyle 1}_{\displaystyle 0} arctgxdx=xarctgx|^{\displaystyle 1}_{\displaystyle 0}-\int^{\displaystyle 1}_{\displaystyle 0}\frac{xdx}{1+x^2}=xarctgx|^{\displaystyle 1}_{\displaystyle 0}-\frac{1}{2}\int\limits^{\displaystyle 1}_{\displaystyle 0}\frac{d(1+x^2)}{1+x^2}=\\=xarctgx|^{\displaystyle 1}_{\displaystyle 0}-\frac{1}{2}ln|1+x^2||^{\displaystyle 1}_{\displaystyle 0}=\frac{\pi}{4}-\frac{1}{2}ln2\\\\u=arctgx;du=\frac{dx}{1+x^2}\\dv=dx;v=x

4,7(15 оценок)
Открыть все ответы
Ответ:
swatcamgg
swatcamgg
23.04.2020
Ноябрь-Листогной. Салкын әверелә. барысы да ешрак заряжает мелкий башка передышки яңгыр, затягиваются туманы. Исеме бар, ай - Листогной, чөнки агачлар сбрасывают үз соңгы листья. Һава торышы, бигрәк тә, салкын тоела белән дождем һәм мокрым кар. Табигать кышка әзер. Менә-менә кар төшәр.
Айга бер ноябрь суров һәм холоден булмау кар. Кайчагында сирђк кенђ кояш, әмма инде диярлек кулын җылыта, икенчеләре, әгәр настигает җил булса, обдает арктическим холодом белән клары кадәр баш. Башлана-ноябрь халык авыз календарьда төп даталар 4 нче ноябрь - бәйрәм Казан изге Ана иконасы. Түгел, һава торышына карап, хәзер эшләргә кирәк, хәзер бөтен ноябрь һәм кыш буе отсиживаться йортлар, әйе греться припасенными поленьями кадәр, иң җылы. Бүген Казан лужи замерзают, покрываются нечкә ледком, ә монда инде Дмитров көне - 8 ноябрьдә килде. Билгеләп үтелде, дип кадәр Дмитрова көн тагын көз үскәндә. 10 ноябрь - Ненила-Льняница, заготавливали лен өчен пряжки. Настасья-Овчарница приходилась 11 саны ай, рәхмәт сүзләре җиткерде пастухов өчен булса, сарыклар ел әйләнәсе оберегали. Зиновей - 12 ноябрь - бәйрәм птичек-синичек, моңа көненә прилетают стаями снегири, щеглы һәм башка күп кенә кышкы кунаклар.
4,4(12 оценок)
Ответ:
SHKOLOLO1228
SHKOLOLO1228
23.04.2020
Пропала совесть. По-старому толпились люди на улицах и в театрах; по-старому они то догоняли, то перегоняли друг друга; по-старому суетились и ловили на лету куски, и никто не догадывался, что чего-то вдруг стало недоставать и что в общем жизненном оркестре перестала играть какая-то дудка. Многие начали даже чувствовать себя бодрее и свободнее. Легче сделался ход человека: ловчее стало подставлять ближнему ногу, удобнее льстить, пресмыкаться, обманывать, наушничать и клеветать. Всякую болесть вдруг как рукой сняло; люди не шли, а как будто неслись; ничто не огорчало их, ничто не заставляло задуматься; и настоящее, и будущее -- все, казалось, так и отдавалось им в руки, -- им, счастливцам, не заметившим о пропаже совести.
4,4(79 оценок)
Новые ответы от MOGZ: Математика
logo
Вход Регистрация
Что ты хочешь узнать?
Спроси Mozg
Открыть лучший ответ