М
Молодежь
К
Компьютеры-и-электроника
Д
Дом-и-сад
С
Стиль-и-уход-за-собой
П
Праздники-и-традиции
Т
Транспорт
П
Путешествия
С
Семейная-жизнь
Ф
Философия-и-религия
Б
Без категории
М
Мир-работы
Х
Хобби-и-рукоделие
И
Искусство-и-развлечения
В
Взаимоотношения
З
Здоровье
К
Кулинария-и-гостеприимство
Ф
Финансы-и-бизнес
П
Питомцы-и-животные
О
Образование
О
Образование-и-коммуникации
ivasil2012
ivasil2012
25.05.2023 19:11 •  Математика

Мне с дробями 6) 10 9/13 + 8/ 3/13
7) 6 5/16 + 2 3/6
8) 2 5/22 + 8 15/22
9) 5 29/ 40 + 4 31/40

кто ответит первым тот лучший и подпишусь​

👇
Ответ:
1user
1user
25.05.2023

6)

10 \frac{9}{13} + 8 \frac{3}{13} = \\ 18 \frac{12}{13} = 18 \frac{2}{3}

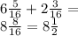
7)

6 \frac{5}{16} + 2 \frac{3}{16} = \\ 8\frac{8}{16} = 8 \frac{1}{2}

8)

2 \frac{5}{22} + 8 \frac{15}{22} = \\ 10 \frac{20}{22} = 10 \frac{10}{11}

9)

5 \frac{29}{40} + 4 \frac{31}{40} = \\ 9 \frac{60}{40} = 10 \frac{20}{40} = 10 \frac{1}{2}

4,6(100 оценок)
Ответ:
chery97
chery97
25.05.2023

Пошаговое объяснение:

10 9/13 + 8 3/13 =(10+8)+(9/13+3/13)=18+(9+3)/13=18+12/13=18 12/13

6 5/16 + 2 3/6 =(6+2)+(5/16+3/6)=8+13/16=8 13/15

2 5/22 + 8 15/22 =(2+8)+(5/22+15/22)=10 + 20/22=10+10/11=10 10/11

5 29/ 40 + 4 31/40 =(5+4)+(29/40+31/40)=9 + (29+31)/40=9 + 60/40 = 9 + 3/2=9 + 1 1/2=9+1+1/2=10+1/2=10 1/2

4,6(78 оценок)
Открыть все ответы
Ответ:
xomis1
xomis1
25.05.2023

Пусть х км/ч - скорость первого поезда, тогда (х - 12) км/ч - скорость второго поезда; 40 мин = 40/60 ч = 2/3 ч. Уравнение:

96/(х-12) - 96/х = 2/3

96 · х - 96 · (х - 12) = 2/3 · х · (х - 12)

96х - 96х + 1152 = (2/3)х² - 8х

(2/3)х² - 8х - 1152 = 0   | домножим обе части уравнения на 3

2х² - 24х - 3456 = 0    | и разделим на 2

х² - 12х - 1728 = 0

D = b² - 4ac = (-12)² - 4 · 1 · (-1728) = 144 + 6912 = 7056

√D = √7056 = 84

х₁ = (12-84)/(2·1) = (-72)/2 = -36 (не подходит, так как < 0)

х₂ = (12+84)/(2·1) = 96/2 = 48 (км/ч) - скорость первого поезда

48 - 12 = 36 (км/ч) - скорость второго поезда

ответ: 48 км/ч и 36 км/ч.

Проверка:

96 : 48 = 2 ч - время движения первого поезда

96 : 36 = 96/36 = 8/3 = 2 2/3 ч - время движения второго поезда

2 2/3 - 2 = 2/3 ч = (60 : 3 · 2) мин = 40 мин - разница

4,6(49 оценок)
Ответ:
badboydenis
badboydenis
25.05.2023

Пусть х км/ч - скорость лодки против течения реки, тогда 1,2х км/ч - скорость лодки по течению реки; 40 мин = 40/60 ч = 2/3 ч; 1 ч 30 мин = 1,5 ч. Уравнение:

1,2х · 2/3 + х · 1,5 = 41,4

0,8х + 1,5х = 41,4

2,3х = 41,4

х = 41,4 : 2,3

х = 18 (км/ч) - скорость лодки против течения реки

1,2х = 1,2 · 18 = 21,6 (км/ч) - скорость лодки по течению реки

(21,6 - 18) : 2 = 3,6 : 2 = 1,8 км/ч - скорость течения реки

ответ: 1,8 км/ч.

Проверка:

(21,6 + 18) : 2 = 39,6 : 2 = 19,8 км/ч - собственная скорость лодки

(19,8 + 1,8) · 2/3 = 21,6 · 2/3 = 14,4 км - путь по течению

(19,8 - 1,8) · 1,5 = 18 · 1,5 = 27 км - путь против течения

14,4 + 27 = 41,4 ч - весь путь лодки

4,5(83 оценок)
Новые ответы от MOGZ: Математика
logo
Вход Регистрация
Что ты хочешь узнать?
Спроси Mozg
Открыть лучший ответ