М
Молодежь
К
Компьютеры-и-электроника
Д
Дом-и-сад
С
Стиль-и-уход-за-собой
П
Праздники-и-традиции
Т
Транспорт
П
Путешествия
С
Семейная-жизнь
Ф
Философия-и-религия
Б
Без категории
М
Мир-работы
Х
Хобби-и-рукоделие
И
Искусство-и-развлечения
В
Взаимоотношения
З
Здоровье
К
Кулинария-и-гостеприимство
Ф
Финансы-и-бизнес
П
Питомцы-и-животные
О
Образование
О
Образование-и-коммуникации
ilyapolitykin228
ilyapolitykin228
30.08.2021 14:27 •  Математика

Решить пределы!
в 1,2 найти пределы
в 3 вычислить предел
в 4,5 найти пределы, используя первый замечательный предел
не понял как именно эти примеры решить. заранее !

👇
Ответ:
LenaED
LenaED
30.08.2021

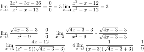
\displaystyle\lim_{x\to4}\frac{3x^2-3x-36}{x^2-x-12}=\frac{0}{0}=3\lim_{x\to4}\frac{x^2-x-12}{x^2-x-12}=3\\\\\\\\\lim_{x\to3}\frac{\sqrt{4x-3}-3}{x^2-9}=\frac{0}{0}=\lim_{x\to3}\frac{\sqrt{4x-3}-3}{x^2-9}*\frac{\sqrt{4x-3}+3}{\sqrt{4x-3}+3}=\\=\lim_{x\to3}\frac{4x-12}{(x^2-9)(\sqrt{4x-3}+3)}=4\lim_{x\to3}\frac{1}{(x+3)(\sqrt{4x-3}+3)}=\frac{1}{9}

\displaystyle\lim_{x\to\infty}(\frac{x+5}{x})^{3x+4}=1^\infty=[\lim_{x\to\infty}(1+\frac{5}{x})^{\displaystyle\frac{x}{5}}]_{\to e}^{\displaystyle\frac{5}{x}(3x+4)}=\\=e^{\displaystyle5\lim_{x\to\infty}\frac{3x+4}{x}_{\to3}}=e^{15}

\displaystyle\lim_{x\to0}\frac{cos2x-cosx}{5arcsinx}=\frac{0}{0}=\frac{2}{5}\lim_{x\to0}\frac{sin\frac{3x}{2}sin\frac{x}{2}}{arcsinx}=\frac{3}{10}\lim_{x\to0}x=0

\displaystyle\lim_{x\to\frac{\pi}{4}}\frac{lntgx}{cos2x}=\frac{0}{0}=-\frac{1}{2}\lim_{x\to\frac{\pi}{4}}\frac{1}{tgxcos^2xsin2x}=-1

4,4(77 оценок)
Открыть все ответы
Ответ:
kotikzxp
kotikzxp
30.08.2021
Площадь равна интегралу (-x²-2x-1)- (-x-3) = -х² - х +2.
∫(-х² - х +2)dx = (-x³/3)-(x²/2) + 2x.
Найдём границы фигуры по оси х.
Приравняем  -x² - 2x - 1 = -x - 3,
                     -x² - x + 2 = 0.
Квадратное уравнение, решаем относительно x: 
Ищем дискриминант:D=(-1)^2-4*(-1)*2=1-4*(-1)*2=1-(-4)*2=1-(-4*2)=1-(-8)=1+8=9;
Дискриминант больше 0, уравнение имеет 2 корня:x_1=(√9-(-1))/(2*(-1))=(3-(-1))/(2*(-1))=(3+1)/(2*(-1))=4/(2*(-1))=4/(-2)=-4/2=-2;x_2=(-√9-(-1))/(2*(-1))=(-3-(-1))/(2*(-1))=(-3+1)/(2*(-1))=-2/(2*(-1))=-2/(-2)=-(-2/2)=-(-1)=1.

Получили 2 точки х = -2 и х = 1.
Подставляем пределы в интеграл:
(-x³/3)-(x²/2) + 2x|(-2;1)= (-1/3)-(1/2)+2 - (8/3)-(4/2)-4) =
(7/6)-(-20/6) = 27/6 = 9/2 = 4,5.
4,5(62 оценок)
Ответ:
HELPERSKINE
HELPERSKINE
30.08.2021
1) Сказать кому-нибудь, ведь нельзя бить людей
2) 23*456= 10488
3) Азия располагается в основном в восточном полушарии (исключением является Чукотский полуостров) , к северу от экватора.
Евразия расположена в Северном полушарии между примерно 9° з. д. и 169° з. д., при этом часть островов Евразии находится вЮжном полушарии. Бо́льшая часть континентальной Евразии лежит в Восточном полушарии, хотя крайние западная и восточная оконечности материка находятся в Западном полушарии. 
Дамаск расположен в юго-западной Сирии рядом с восточным предгорьем Восточно-ливанской горной гряды на Восточном плато(высота 680 метров над уровнем моря) в нижнем течении реки Ба́рада, где она разделяется на семь рукавов.
4) В отряде чешуекрылых примерно 18 тысяч известных науке видов булавоусых бабочек (они же дневные) и 147 тысяч видов разноусых (моли и ночные бабочки).
5) 4 (33/45)
4,7(11 оценок)
Это интересно:
Новые ответы от MOGZ: Математика
logo
Вход Регистрация
Что ты хочешь узнать?
Спроси Mozg
Открыть лучший ответ