М
Молодежь
К
Компьютеры-и-электроника
Д
Дом-и-сад
С
Стиль-и-уход-за-собой
П
Праздники-и-традиции
Т
Транспорт
П
Путешествия
С
Семейная-жизнь
Ф
Философия-и-религия
Б
Без категории
М
Мир-работы
Х
Хобби-и-рукоделие
И
Искусство-и-развлечения
В
Взаимоотношения
З
Здоровье
К
Кулинария-и-гостеприимство
Ф
Финансы-и-бизнес
П
Питомцы-и-животные
О
Образование
О
Образование-и-коммуникации
TheHammer
TheHammer
03.03.2022 02:09 •  Математика

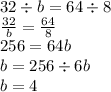
Решите уравнение 32 делим на б = 64 делим на восемь

👇
Ответ:
kseniaflrsova72
kseniaflrsova72
03.03.2022

Пошаговое объяснение:

32 \div b = 64 \div 8 \\ \frac{32}{b} = \frac{64}{8} \\ 256 = 64b \\ b = 256 \div 6b \\ b = 4

4,4(98 оценок)
Открыть все ответы
Ответ:
альбина349
альбина349
03.03.2022

1) 45 + 27:3 - 12 = 45 + 9 - 12 = 42. Скобки (45 + 27):3 - 12 = 72:3 - 12 = 24 - 12 = 12

2) 90 - 36:3*2 = 90 - 12*2 = 90 - 24 = 66. Скобки (90 - 36):3*2 = 54:3*2 = 18*2 = 36

3) 84:4*3 + 2 = 21*3 + 2 = 63 + 2 = 65. Скобки 84:4*(3 + 2) = 21*5 = 105

4) 100 - 10*9 - 8 = 100 - 90 - 8 = 2. Скобки (100 - 10)*9 - 8 = 90*9 - 8 = 810 - 8 = 802

Еще 100 - 10*(9 - 8) = 100 - 10*1 = 90. И еще (100 - 10)*(9 - 8) = 90*1 = 90

5) 17 + 15*3*0 = 17 + 0 = 17. Скобки (17 + 15)*3*0 = 32*3*0 = 0

6) Здесь опечатка. Думаю, что должно быть

5*5 + 75:5 = 25 + 15 = 40. Скобки 5*(5 + 75):5 = 5*80:5 = 80

4,8(45 оценок)
Ответ:
Герман10111
Герман10111
03.03.2022
4. Имя.
7(8). Не знаю, но:
а)Речка мелкая, отец вброд, сыновья вплавь.
б) Они подошли с разных берегов.
в) Рядом мост XD.
3. Зубы: Молочные, коренные, золотые(вставные)
6. залить при литровой пятилитровую до краев. остается 1 литр в 3-литровой. Выливаем все из пятилитровой. выливаем 1 литр из трехлитровой. и еще раз заливаем трехлитровой.
9) Если нынешний день 1 января, а День Рождения у Пети 31 декабря. Позавчера (30 декабря) ему было еще 17 лет, вчера (31 декабря) исполнилось 18 лет, в нынешнем году исполнится 19 лет, а в следующем году - 20 лет.
Элементарно, Ватсон XD
4,5(30 оценок)
Новые ответы от MOGZ: Математика
logo
Вход Регистрация
Что ты хочешь узнать?
Спроси Mozg
Открыть лучший ответ