М
Молодежь
К
Компьютеры-и-электроника
Д
Дом-и-сад
С
Стиль-и-уход-за-собой
П
Праздники-и-традиции
Т
Транспорт
П
Путешествия
С
Семейная-жизнь
Ф
Философия-и-религия
Б
Без категории
М
Мир-работы
Х
Хобби-и-рукоделие
И
Искусство-и-развлечения
В
Взаимоотношения
З
Здоровье
К
Кулинария-и-гостеприимство
Ф
Финансы-и-бизнес
П
Питомцы-и-животные
О
Образование
О
Образование-и-коммуникации
yanapetelyakp070y8
yanapetelyakp070y8
03.05.2020 07:21 •  Математика

Решите все с пятого по 8 если желательно ​

👇
Ответ:
alicebro1
alicebro1
03.05.2020

5.\\1)\;\frac8{25}\cdot\frac5{56}=\frac15\cdot\frac17=\frac1{35}\\\\2)\;\frac7{15}:\frac{14}{25}=\frac7{15}\cdot\frac{25}{14}=\frac13\cdot\frac52=\frac56\\\\3)\;\left(\frac49\right)^2=\frac{4^2}{9^2}=\frac{16}{81}\\\\4)\;1:\frac58=1\cdot\frac85=\frac85=1\frac35

6.\\1\frac57x-\frac59=2\frac49\\\\\frac{12}7x-\frac59=\frac{22}9\\\\\frac{12}7x=\frac{22}9+\frac59\\\\\frac{12}7x=\frac{27}9=3\\\\x=3\cdot\frac7{12}=\frac74=1\frac34

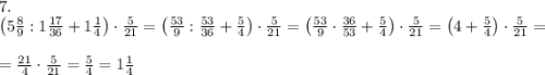
7.\\\left(5\frac89:1\frac{17}{36}+1\frac14\right)\cdot\frac5{21}=\left(\frac{53}9:\frac{53}{36}+\frac54\right)\cdot\frac5{21}=\left(\frac{53}9\cdot\frac{36}{53}+\frac54\right)\cdot\frac5{21}=\left(4+\frac54\right)\cdot\frac5{21}=\\\\=\frac{21}4\cdot\frac5{21}=\frac54=1\frac14

8.

112*4/7 = 16*4 = 64 м в первый день

112-64 = 48 м осталось

48*5/12 = 4*5 = 20 м во второй день

48-20 = 28 м в третий день

4,6(66 оценок)
Открыть все ответы
Ответ:
hedgehogGreen
hedgehogGreen
03.05.2020
Итак, ни одна коробка не должна быть пустой, тогда в каждой коробке будет хотя бы один карандаш — это минимум. У нас 5 коробок, тогда уже 5 карандашей будут разложены по коробкам. На руках осталось всего 4 карандаша. По условию, как я понимаю, не должно быть коробок с одинаковым количеством карандашей. То есть, если в первой коробке у нас 1 карандаш, то ни в одной другой не должно быть одного. Положим во вторую коробку ещё один карандаш. В третью положим 2 карандаша, так как во второй их уже 2. На руках остался один карандаш. Куда бы мы его теперь ни положили, решить поставленную задачу мы не сможем: в первой коробке 1 к., во второй — 2 к., в третьей — 3 к., в четвёртой 1 к., в пятой 1 к. и на руках ещё 1 к. Получается, чтобы решить задачу, нужно 1+2+3+4+5 карандашей, то есть 15 штук для 5 коробок. В задаче по олимпиаде к 6 классу в условии 13 карандашей и 6 коробок — суть та же, карандашей не хватает, то есть ответ — невозможно (такой ответ есть в скобочках).
4,6(94 оценок)
Ответ:
ghorddd
ghorddd
03.05.2020
Итак, ни одна коробка не должна быть пустой, тогда в каждой коробке будет хотя бы один карандаш — это минимум. У нас 5 коробок, тогда уже 5 карандашей будут разложены по коробкам. На руках осталось всего 4 карандаша. По условию, как я понимаю, не должно быть коробок с одинаковым количеством карандашей. То есть, если в первой коробке у нас 1 карандаш, то ни в одной другой не должно быть одного. Положим во вторую коробку ещё один карандаш. В третью положим 2 карандаша, так как во второй их уже 2. На руках остался один карандаш. Куда бы мы его теперь ни положили, решить поставленную задачу мы не сможем: в первой коробке 1 к., во второй — 2 к., в третьей — 3 к., в четвёртой 1 к., в пятой 1 к. и на руках ещё 1 к. Получается, чтобы решить задачу, нужно 1+2+3+4+5 карандашей, то есть 15 штук для 5 коробок. В задаче по олимпиаде к 6 классу в условии 13 карандашей и 6 коробок — суть та же, карандашей не хватает, то есть ответ — невозможно (такой ответ есть в скобочках).
4,4(88 оценок)
Новые ответы от MOGZ: Математика
Полный доступ к MOGZ
Живи умнее Безлимитный доступ к MOGZ Оформи подписку
logo
Вход Регистрация
Что ты хочешь узнать?
Спроси Mozg
Открыть лучший ответ