М
Молодежь
К
Компьютеры-и-электроника
Д
Дом-и-сад
С
Стиль-и-уход-за-собой
П
Праздники-и-традиции
Т
Транспорт
П
Путешествия
С
Семейная-жизнь
Ф
Философия-и-религия
Б
Без категории
М
Мир-работы
Х
Хобби-и-рукоделие
И
Искусство-и-развлечения
В
Взаимоотношения
З
Здоровье
К
Кулинария-и-гостеприимство
Ф
Финансы-и-бизнес
П
Питомцы-и-животные
О
Образование
О
Образование-и-коммуникации
мария21112006
мария21112006
22.08.2022 16:42 •  Математика

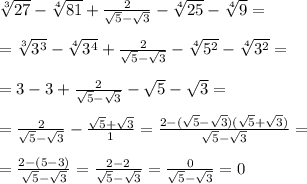
Решить. выражение с корнями, ответ равен 0, 1 и 2 выражение дает ноль, с другими не знаю, что делать. хелп

👇
Ответ:
strakh1991
strakh1991
22.08.2022

0

Пошаговое объяснение:

\sqrt[3]{27}-\sqrt[4]{81}+\frac{2}{\sqrt{5}-\sqrt{3}}-\sqrt[4]{25}-\sqrt[4]{9}=\\\\=\sqrt[3]{3^3}-\sqrt[4]{3^4}+\frac{2}{\sqrt{5}-\sqrt{3}} -\sqrt[4]{5^2}-\sqrt[4]{3^2}=\\\\=3-3+\frac{2}{\sqrt{5}-\sqrt{3}} -\sqrt{5} -\sqrt{3}=\\\\=\frac{2}{\sqrt{5}-\sqrt{3}}-\frac{\sqrt{5}+\sqrt{3}}{1}=\frac{2-(\sqrt{5}-\sqrt{3})(\sqrt{5}+\sqrt{3})}{\sqrt{5}-\sqrt{3}}=\\\\=\frac{2-(5-3)}{\sqrt{5}-\sqrt{3}}=\frac{2-2}{\sqrt{5}-\sqrt{3}} =\frac{0}{\sqrt{5}-\sqrt{3}}=0

4,4(86 оценок)
Открыть все ответы
Ответ:
katyakot56806
katyakot56806
22.08.2022

Поскольку корзины были одинаковые, а со второго участка собрали больше корзин, чем с первого (60 ˃ 51), значит, разница в массе винограда приходится на разницу в количестве корзин, собранных с первого и второго участков.

1) Найдем, на сколько корзин больше собрали со второго участка, чем с первого: 60 – 51 = 9 (к.);

2) Вычислим, сколько кг винограда было в одной корзине: 216 : 9 = 24 (кг);

3) Узнаем, сколько кг винограда собрали с первого участка: 24 · 51 = 1224 (кг);

4) Определим, сколько кг винограда собрали со второго участка: 24 · 60 = 1440 или 1224 + 216 = 1440 (кг).

ответ: с первого участка собрали 1224 кг винограда, а со второго – 1440 кг.

4,7(85 оценок)
Ответ:
Мак­си­маль­но со­от­ветс­тву­ют кри­тери­ям бе­зопас­ности на­тураль­ные ма­тери­алы, ко­торые уже дол­гое вре­мя ис­поль­зу­ют­ся че­лове­ком. это ка­мень и де­рево. в свя­зи с этим час­то ис­поль­зу­ют ма­тери­алы, соз­данные на ос­но­ве при­род­ных ре­сур­сов - стек­ло, бе­тон и по­доб­ные. эта про­дук­ция яв­ля­ет­ся бе­зопас­ной для че­лове­чес­ко­го здо­ровья. так­же су­щес­тву­ет ряд ма­тери­алов, ко­торые вы­деля­ют ток­сичные ве­щес­тва при ис­поль­зо­вании. это, нап­ри­мер, из­де­лия с при­мене­ни­ем по­лиме­ров и до­бавок для ста­били­зации их свой­ств: плас­тичнос­ти, проч­ности и дру­гих. на пер­вом мес­те в спис­ке опас­ных ма­тери­алов на­ходят­ся де­шёвые крас­ки, ла­ки, мас­ти­ки, в сос­тав ко­торых вхо­дит сви­нец, медь и ряд нар­ко­тичес­ких ве­ществ - кси­лол, кре­зол, то­лу­ол. став­шие по­пуляр­ны­ми ма­тери­алы на пвх ос­но­ве - ви­нило­вые обои, ли­ноле­ум, де­кора­тив­ная плен­ка - яв­ля­ют­ся ис­точни­ком по­вышен­ной кон­цен­тра­ции в воз­ду­хе тя­желых ме­тал­лов, ко­торые име­ют свой­ство на­кап­ли­вать­ся в ор­га­низ­ме и про­воци­ру­ют раз­ви­тие опу­холей. подробно в источнике источник:
4,5(9 оценок)
Новые ответы от MOGZ: Математика
logo
Вход Регистрация
Что ты хочешь узнать?
Спроси Mozg
Открыть лучший ответ