М
Молодежь
К
Компьютеры-и-электроника
Д
Дом-и-сад
С
Стиль-и-уход-за-собой
П
Праздники-и-традиции
Т
Транспорт
П
Путешествия
С
Семейная-жизнь
Ф
Философия-и-религия
Б
Без категории
М
Мир-работы
Х
Хобби-и-рукоделие
И
Искусство-и-развлечения
В
Взаимоотношения
З
Здоровье
К
Кулинария-и-гостеприимство
Ф
Финансы-и-бизнес
П
Питомцы-и-животные
О
Образование
О
Образование-и-коммуникации
марян7878
марян7878
13.08.2020 03:55 •  Математика

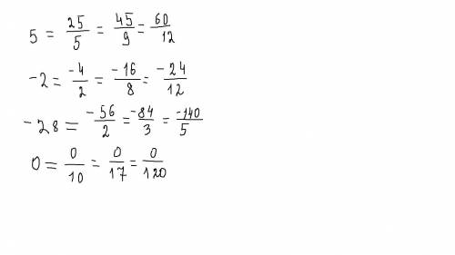
Запишите три дроби с положительным знаменателем равные числу 5,-2,-28,0 ответьте 10

👇
Ответ:
лада161
лада161
13.08.2020

Пошаговое объяснение:

решение смотри внизу

4,4(100 оценок)
Ответ:
BeautifulGirl001
BeautifulGirl001
13.08.2020

ответ:\frac{10}{2} \\\\frac{-4}{2} \\\\frac{-56}{2} \\\\frac{0}{3}Пошаговое объяснение:


Запишите три дроби с положительным знаменателем равные числу 5,-2,-28,0 ответьте 10
4,4(14 оценок)
Открыть все ответы
Ответ:
NeSharitVMatematike
NeSharitVMatematike
13.08.2020
Есть онлайн построители графиков.
При х=2 будет неустранимый разрыв с бесконечным скачком.
Других разрывов не будет.
Экстремумов очевидно тоже.
При х = 2+0 у=+бесконечность,
при х= 2 - 0, у = -бесконечность.
Т. о., будет асимптота (линейная) х=2
При х = + беск, у = +0,
при х=-беск. у = -0,
т. о. будет и асимптота у=0.
Пересекать OX не будет.
OY пересечёт при х=0, у = 1/128.
Остальное по этим данным очевидно. Выглядеть в целом будет по типу гиперболы у = 1/x, но из-за высокой степени график будет сильно "вбит" в углы.
4,8(80 оценок)
Ответ:
DDddd532222
DDddd532222
13.08.2020
Темная энергия  была впервые обнаружена при наблюдении сверхновых звезд Эта энергия невидна глазу но доказательства ее существования имеются.Темная энергия характеризуется тем что создает "всемирное антитяготение",проявляющееся в ускоренном расширении Вселенной как целого.Доказательством существования темной материи является  – сила гравитации которая сохраняет целостность вселенной.Доказательством существования темной энергии связано также с ее  гравитационным влиянием на другие объекты и  на траекторию движения звезд и галактик
Также темная материя влияет на траекторию распространения света.
4,8(15 оценок)
Это интересно:
Новые ответы от MOGZ: Математика
logo
Вход Регистрация
Что ты хочешь узнать?
Спроси Mozg
Открыть лучший ответ