М
Молодежь
К
Компьютеры-и-электроника
Д
Дом-и-сад
С
Стиль-и-уход-за-собой
П
Праздники-и-традиции
Т
Транспорт
П
Путешествия
С
Семейная-жизнь
Ф
Философия-и-религия
Б
Без категории
М
Мир-работы
Х
Хобби-и-рукоделие
И
Искусство-и-развлечения
В
Взаимоотношения
З
Здоровье
К
Кулинария-и-гостеприимство
Ф
Финансы-и-бизнес
П
Питомцы-и-животные
О
Образование
О
Образование-и-коммуникации
daridasha57ү
daridasha57ү
17.02.2023 16:08 •  Математика

Надо! решите пример по действиям,

👇
Ответ:
Aрiшkа
Aрiшkа
17.02.2023

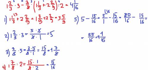
ответ: 4 1/16

Пошаговое объяснение: ↓↓ удачи!


Надо! решите пример по действиям,
4,5(44 оценок)
Открыть все ответы
Ответ:
morozovasanya
morozovasanya
17.02.2023
Могу предложить взять рецепт мороженного и выделить какая часть приходится на молоко.
Вот реальный рецепт:

Продукты:

молоко – поллитра;   

яйца – 5 желтков; 

сливочное масло – 100 г;

сахар – 1 стакан;

Крахмал (1 ч.л.) исключаю, его слишком мало, будет мешать.

По таблице мер и весов продуктов находим сколько будет весить желток и стакан сахара

Продукты:

молоко – поллитра = 500 г

яйца – 5 желтков; 1желток =40г,  5*40=200г

сливочное масло – 100 г;

сахар – 1 стакан; 1ст=200г

Выход продукта 1кг =1000г

Если перевести в в части, для производства мороженного нужно 5 частей молока, 2 части желтков, 1 часть сливочного масла, 2 части сахара

4,6(38 оценок)
Ответ:
Marka231
Marka231
17.02.2023
А)3 1/2 - 5/9=2 17/18
7/2 - 5/9,приводим к общему знаменателю,который равен 18
63/18-10/18=53/18=2 17/18

б) 11/4 - 1/3=2 5/12
приводим к общему знаменателю равному 12
33/12 - 4/12= 29/12=2 5/12

в) 113/15 - 2/5=7 2/15
приводим к общему знаменателю равному 15
113/15 - 6/15=107/15=7 2/15

г)1 1/3-5/6= 0,5 или 1/2
4/3 - 5/6
приводим к общему знаменателю равному 6
8/6 - 5/6= 0,5 или 1/2

д)2 3/10-4/15=2 1/30
23/10 - 4/15
приводим к общему знаменателю равному 30
69/30 - 8/30=61/30=2 1/30

е)3 1/8-1/6=2 23/24
25/8 - 1/6
приводим к общему знаменателю равному 24
75/24 - 4/24=71/24=2 23/24
4,4(48 оценок)
Это интересно:
Новые ответы от MOGZ: Математика
logo
Вход Регистрация
Что ты хочешь узнать?
Спроси Mozg
Открыть лучший ответ