М
Молодежь
К
Компьютеры-и-электроника
Д
Дом-и-сад
С
Стиль-и-уход-за-собой
П
Праздники-и-традиции
Т
Транспорт
П
Путешествия
С
Семейная-жизнь
Ф
Философия-и-религия
Б
Без категории
М
Мир-работы
Х
Хобби-и-рукоделие
И
Искусство-и-развлечения
В
Взаимоотношения
З
Здоровье
К
Кулинария-и-гостеприимство
Ф
Финансы-и-бизнес
П
Питомцы-и-животные
О
Образование
О
Образование-и-коммуникации

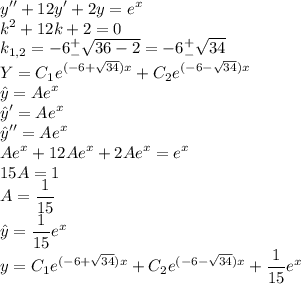
Решите дифференциальное уравнение второго порядка подробно для частного случая: y''+12*y'+2*y=e^x

👇
Ответ:
alinaara
alinaara
21.06.2021

\displaystyle y''+12y'+2y=e^x\\k^2+12k+2=0\\k_{1,2}=-6^+_-\sqrt{36-2}=-6^+_-\sqrt{34}\\Y=C_1e^{(-6+\sqrt{34})x}+C_2e^{(-6-\sqrt{34})x}\\\hat{y}=Ae^{x}\\\hat{y}'=Ae^{x}\\\hat{y}''=Ae^{x}\\Ae^{x}+12Ae^{x}+2Ae^{x}=e^x\\15A=1\\A=\frac{1}{15}\\\hat{y}=\frac{1}{15}e^{x}\\y=C_1e^{(-6+\sqrt{34})x}+C_2e^{(-6-\sqrt{34})x}+\frac{1}{15}e^x

4,6(96 оценок)
Открыть все ответы
Ответ:
ailyn2111
ailyn2111
21.06.2021
Для того, чтобы лучше понять условие вспомним следующее:
1) Какие мы знаем однозначные числа? 1, 2, 3, 4, 5, 6, 7, 8 и 9. Они записываются при одной цифры (одного знака).
2) Что такое слагаемое? Что является слагаемым в примере, который дан в условии?
3 = 1 + 2 (те числа, которые я выделила жирным - слагаемые, курсивом - сумма)
Слагаемые - те числа, которые мы складываем, сумма - то, что получается (результат сложения).

Таким же образом можно разбить следующие однозначные числа: 5, 7,  и 9.
5 = 2 + 3 (3 больше 2х на 1, т.е. 3 - 2 =1)
7 = 3 + 4 (4 больше 3х на 1, т.е. 4 - 3 = 1)
9 = 4 + 5 (5 больше 4х на 1, т.е. 5 - 4 = 1)
Таким же можно разбить и число 1 (но оно меньше 3х, которое дано в условии):
1 = 0 + 1 (1 больше 0 на 1, так как 1 - 0 = 1)

Почему нельзя таким разбить числа 2, 4, 6, 8 и 10 (и так далее)?
2 можно записать в виде суммы следующих чисел:
2 = 0 + 2 (однако, 2 - 0 = 2, т.е. 2 больше 0 на 2, это не подходит к условию)
2 = 1 + 1 (1 - 1 = 0, т.е. в этом случае слагаемые равны, тоже не подходит к условию)
4 можно записать в виде суммы следующих чисел:
4 = 0 + 4 (4 - 0 = 4, т.е. 4 больше 0 на 4, не подходит к условию)
4 = 1 + 3 (3 - 1 = 2, т.е. 3 больше 1 на 2, не подходит к условию)
4 = 2 + 2 (2 - 2 = 0, т.е. слагаемые равны, тоже не подходит к условию)
6 можно записать в виде суммы следующих чисел:
6 = 0 + 6 (6 - 0 = 6, т.е. 6 больше 0 на 6, не подходит к условию)
6 = 1 + 5 (5 - 1 = 4, т.е. 5 больше 1 на 4, не подходит к условию)
6 = 2 + 4 ( 4 - 2 = 2, т.е. 4 больше 2 на 2, не подходит к условию)
6 = 3 + 3 ( 3 - 3 = 0, т.е. и в этом случае слагаемые равны, не подходит к условию)
8 можно записать в виде суммы следующих слагаемых:
8 = 0 + 8 (8 - 0 = 8, т.е. 8 больше 0 на 8, не подходит к условию)
8 = 1 + 7 (7 - 1 = 6, т.е. 7 больше 1 на 6, не подходит к условию)
8 = 2 + 6 (6 - 2 = 4, т.е. 6 больше 2 на 4, тоже не подходит к условию)
8 = 3 + 5 (5 - 3 = 2, т.е. 5 больше 3 на 2, не подходит к условию)
8 = 4 + 4 (4 - 4 = 0, т.е. слагаемые равны, не подходит к условию)
10 - уже двузначное число, так как состоит из двух цифр (двух знаков) - 1 и 0.
Т.е. однозначные числа уже закончились =)

Если появятся вопросы, всегда готова на них ответить.
Sunny Storm (Darknight)
4,4(28 оценок)
Ответ:
1970nata
1970nata
21.06.2021
Для того, чтобы лучше понять условие вспомним следующее:
1) Какие мы знаем однозначные числа? 1, 2, 3, 4, 5, 6, 7, 8 и 9. Они записываются при одной цифры (одного знака).
2) Что такое слагаемое? Что является слагаемым в примере, который дан в условии?
3 = 1 + 2 (те числа, которые я выделила жирным - слагаемые, курсивом - сумма)
Слагаемые - те числа, которые мы складываем, сумма - то, что получается (результат сложения).

Таким же образом можно разбить следующие однозначные числа: 5, 7,  и 9.
5 = 2 + 3 (3 больше 2х на 1, т.е. 3 - 2 =1)
7 = 3 + 4 (4 больше 3х на 1, т.е. 4 - 3 = 1)
9 = 4 + 5 (5 больше 4х на 1, т.е. 5 - 4 = 1)
Таким же можно разбить и число 1 (но оно меньше 3х, которое дано в условии):
1 = 0 + 1 (1 больше 0 на 1, так как 1 - 0 = 1)

Почему нельзя таким разбить числа 2, 4, 6, 8 и 10 (и так далее)?
2 можно записать в виде суммы следующих чисел:
2 = 0 + 2 (однако, 2 - 0 = 2, т.е. 2 больше 0 на 2, это не подходит к условию)
2 = 1 + 1 (1 - 1 = 0, т.е. в этом случае слагаемые равны, тоже не подходит к условию)
4 можно записать в виде суммы следующих чисел:
4 = 0 + 4 (4 - 0 = 4, т.е. 4 больше 0 на 4, не подходит к условию)
4 = 1 + 3 (3 - 1 = 2, т.е. 3 больше 1 на 2, не подходит к условию)
4 = 2 + 2 (2 - 2 = 0, т.е. слагаемые равны, тоже не подходит к условию)
6 можно записать в виде суммы следующих чисел:
6 = 0 + 6 (6 - 0 = 6, т.е. 6 больше 0 на 6, не подходит к условию)
6 = 1 + 5 (5 - 1 = 4, т.е. 5 больше 1 на 4, не подходит к условию)
6 = 2 + 4 ( 4 - 2 = 2, т.е. 4 больше 2 на 2, не подходит к условию)
6 = 3 + 3 ( 3 - 3 = 0, т.е. и в этом случае слагаемые равны, не подходит к условию)
8 можно записать в виде суммы следующих слагаемых:
8 = 0 + 8 (8 - 0 = 8, т.е. 8 больше 0 на 8, не подходит к условию)
8 = 1 + 7 (7 - 1 = 6, т.е. 7 больше 1 на 6, не подходит к условию)
8 = 2 + 6 (6 - 2 = 4, т.е. 6 больше 2 на 4, тоже не подходит к условию)
8 = 3 + 5 (5 - 3 = 2, т.е. 5 больше 3 на 2, не подходит к условию)
8 = 4 + 4 (4 - 4 = 0, т.е. слагаемые равны, не подходит к условию)
10 - уже двузначное число, так как состоит из двух цифр (двух знаков) - 1 и 0.
Т.е. однозначные числа уже закончились =)

Если появятся вопросы, всегда готова на них ответить.
Sunny Storm (Darknight)
4,5(36 оценок)
Это интересно:
Новые ответы от MOGZ: Математика
logo
Вход Регистрация
Что ты хочешь узнать?
Спроси Mozg
Открыть лучший ответ