М
Молодежь
К
Компьютеры-и-электроника
Д
Дом-и-сад
С
Стиль-и-уход-за-собой
П
Праздники-и-традиции
Т
Транспорт
П
Путешествия
С
Семейная-жизнь
Ф
Философия-и-религия
Б
Без категории
М
Мир-работы
Х
Хобби-и-рукоделие
И
Искусство-и-развлечения
В
Взаимоотношения
З
Здоровье
К
Кулинария-и-гостеприимство
Ф
Финансы-и-бизнес
П
Питомцы-и-животные
О
Образование
О
Образование-и-коммуникации
FJcjfjvj
FJcjfjvj
14.06.2020 06:58 •  Математика

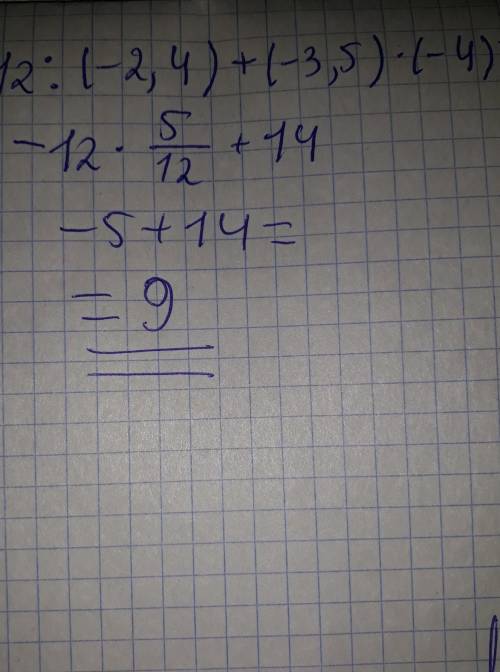
Выполните дейстивия

1) 12: (-2,4)+(-3.5)*(-4)=

2) -0,65*4/13+1целая 2/3: 5/9​

👇
Ответ:
Валерия1804
Валерия1804
14.06.2020

Пошаговое объяснение:

вот так надо решить ответ 9


Выполните дейстивия1) 12: (-2,4)+(-3.5)*(-4)=2) -0,65*4/13+1целая 2/3: 5/9​
4,5(85 оценок)
Открыть все ответы
Ответ:
makaroshkaplay
makaroshkaplay
14.06.2020

Все натуральные числа с точки зрения делимости на 2 разбиваются на два множества: множество четных чисел и множество нечетных чисел. 


Четные числа делятся нацело на 2, а нечетные при делении на 2 дают остаток 1.  0 – число четное.


При решении задач, в которых используются свойство четность важно помнить и применять следующие правила:


Сумма и разность двух нечетных чисел является четным числомСумма и разность двух четных чисел является четным числом.Сумма и разность двух чисел, из которых одно четное, а другое нечетное, является нечетным числом.Произведение двух нечетных чисел является нечетным числом.Произведение двух чисел, из которых одно четное, является четным числом.

4,6(48 оценок)
Ответ:
elag
elag
14.06.2020
Cоль минор три вида:

Натуральный : " соль - ля - си бемоль - до - ре - ми бемоль - фа - соль " 
Гармонический : " соль - ля - си бемоль - до - ре - ми бемоль - ФА ДИЕЗ - соль " 

Мелодический: " соль - ля - си бемоль - до - ре - МИ БЕКАР - ФА ДИЕЗ - соль " > " соль - ФА БЕКАР - МИ БЕМОЛЬ - ре - до - си бемоль - ля - соль " 

Интервалы:

ум53 : " фа диез - ля -до > соль - соль - си бемоль "    " ля - до - ми бемоль > си бемоль - си бемоль - ре " 

Д7 : " ре - фа диез - ля - до " > " соль - соль - соль - си бемоль " 
Д56 : " фа - диез - ля - до - ре " > " соль - соль - си бемоль - ре "
Д43 : " ля - до - ре - фа диез " > " соль - си бемоль - ре - соль " 
Д2 : " до - ре - фа диез - ля " > " си бемоль - ре - соль - соль " 

ум\/||₇ : " фа диез - ля - до - ми бемоль " > " соль - си бемоль - си бемоль - ре " 

M\/||₇ : " фа диез - ля - до - ми бекар " > " соль - си бемоль - си бемоль - ре " 
4,7(75 оценок)
Это интересно:
Новые ответы от MOGZ: Математика
logo
Вход Регистрация
Что ты хочешь узнать?
Спроси Mozg
Открыть лучший ответ