М
Молодежь
К
Компьютеры-и-электроника
Д
Дом-и-сад
С
Стиль-и-уход-за-собой
П
Праздники-и-традиции
Т
Транспорт
П
Путешествия
С
Семейная-жизнь
Ф
Философия-и-религия
Б
Без категории
М
Мир-работы
Х
Хобби-и-рукоделие
И
Искусство-и-развлечения
В
Взаимоотношения
З
Здоровье
К
Кулинария-и-гостеприимство
Ф
Финансы-и-бизнес
П
Питомцы-и-животные
О
Образование
О
Образование-и-коммуникации
mashok3
mashok3
20.02.2020 13:01 •  Математика

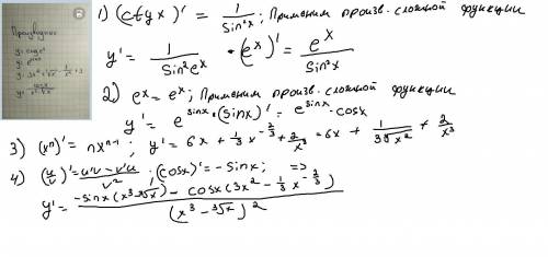
Решить производные и написать (если есть) замены, формулы и методы, которые использовались, желательно решение написать на листочке

👇
Ответ:
mikhuil
mikhuil
20.02.2020

Решение на фото.

Стараюсь быть лучшим для вас)


Решить производные и написать (если есть) замены, формулы и методы, которые использовались, желатель
4,7(87 оценок)
Открыть все ответы
Ответ:
Vados2002k
Vados2002k
20.02.2020
1) хотя бы двое из них учаться в одном классе, потому что классов 4, а учеников 5 значит они могут: а) все пятеро учиться в одном классе (условие "хотя бы двое" - выполняется) ; в) они могут в четвером учиться в разных классах и тогда пятый добавится к кому либо (условие "хотя бы двое" - выполняется) , 2) трое не могут (причина смотри п. 3), 3) для того чтобы выполнялось условие "хотя бы трое" необходимо, чтобы учеников было: Уч=а*(в-1)+1, где Уч - количество учеников, а - количество классов = 4; в - "хотя бы" учеников в классе = 3; тогда: Уч=4*(3-1)+1=9 учеников должны жить в одном доме, что бы выполнялось условие "хотя бы трое" 4) а для рисунка сделайте так:

2"А" 2"Б" 2"В" 2"Г"
1+1+1 1+1 1+1 1+1

1+1 1+1+1 1+1 1+1

1+1 1+1 1+1+1 1+1

1+1 1+1 1+1 1+1+1
4,4(71 оценок)
Ответ:
Nataliya49017
Nataliya49017
20.02.2020

1) хотя бы двое из них учаться в одном классе, потому что классов 4, а учеников 5 значит они могут: а) все пятеро учиться в одном классе (условие "хотя бы двое" - выполняется); в) они могут в четвером учиться в разных классах и тогда пятый добавится к кому либо (условие "хотя бы двое" - выполняется), 2) трое не могут (причина смотри п.3), 3) для того чтобы выполнялось условие "хотя бы трое" необходимо, чтобы учеников было: Уч=а*(в-1)+1, где Уч - количество учеников, а - количество классов = 4; в - "хотя бы"  учеников в классе = 3; тогда: Уч=4*(3-1)+1=9 учеников должны жить в одном доме, что бы выполнялось условие "хотя бы трое" 4) а для рисунка сделайте  так:

2"А"2"Б"___2"В"___2"Г"

1+1+11+11+1___1+1

 

1+11+1+11+1___1+1        

          

1+11+11+1+1___1+1                    

                   

1+11+11+1___1+1+1                            

                            

где 1 - это один ученик и мы видим четыре варианта к какой паре учеников он может добавиться, что бы выполнялось условие "хотя бы трое". Размещая 8 учеников в четырех классах в других вариантах Вы увидите, что это условие выполнится раньше. Но нам надо 100% результат, по этому мы рассматриваем самый не благоприятный вариант.

4,5(77 оценок)
Это интересно:
Новые ответы от MOGZ: Математика
logo
Вход Регистрация
Что ты хочешь узнать?
Спроси Mozg
Открыть лучший ответ