



288√3 cм³
Пошаговое объяснение:
Правильная пирамида – это пирамида, в которой основой является правильный многоугольник, а высота опускается в центр основания. Апофема – это перпендикуляр боковой грани пирамиды, опущенный из вершины пирамиды к стороне основания. Апофемы всех боковых граней правильная пирамиды равны.
Объём пирамиды через площадь основания S и высоту H определяется по формуле:
V = S•H/3.
По условию основание правильной пирамиды – четырехугольник. Тогда, по определению правильной пирамиды, основание – квадрат со стороной a=12 см. Тогда площадь основания S=a²=(12 см)² =144 см².
Точку пересечения диагоналей основания обозначим О, вершину пирамиды – K (см. рисунок):
ОK - высота пирамиды, KM - апофема боковой грани ΔAKB.
Так как DA=12 см, то ОМ=DA:2=12:2 см = 6 см.
Так как ΔОKM прямоугольный с ∠KОМ=90° и по условию ∠ОKM=30°, то по определению
ctg30°= ОK/ОМ.
Отсюда ОK=ОМ•ctg30°=6 см•√3=6√3 см.
Тогда объем пирамиды равен
V=(144•6√3)/3=288√3 cм³.
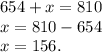
1) 654+х=810
х=810-654
х=156
2) 35*х=0
х=0
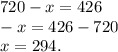
3) 720-х=426
х=720-426
х=294
4) х:27=0
х= 0