М
Молодежь
К
Компьютеры-и-электроника
Д
Дом-и-сад
С
Стиль-и-уход-за-собой
П
Праздники-и-традиции
Т
Транспорт
П
Путешествия
С
Семейная-жизнь
Ф
Философия-и-религия
Б
Без категории
М
Мир-работы
Х
Хобби-и-рукоделие
И
Искусство-и-развлечения
В
Взаимоотношения
З
Здоровье
К
Кулинария-и-гостеприимство
Ф
Финансы-и-бизнес
П
Питомцы-и-животные
О
Образование
О
Образование-и-коммуникации
anyakondratenk
anyakondratenk
22.10.2020 03:26 •  Математика

Как можно ! лучший ответ, и 5 звезд !

👇
Ответ:
zhigalkinden
zhigalkinden
22.10.2020

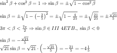
\sin^2\beta+\cos^2\beta=1\Rightarrow\sin\beta=\pm\sqrt{1-\cos^2\beta}\\\\\sin\beta=\pm\sqrt{1-\left(-\frac25\right)^2}=\pm\sqrt{1-\frac4{25}}=\pm\sqrt{\frac{21}{25}}=\pm\frac{\sqrt{21}}5\\\\3\pi

4,8(87 оценок)
Открыть все ответы
Ответ:
Veteran1941
Veteran1941
22.10.2020
1.Зубчатые, ременные, червячные, фрикционные2. Ведущее звено передачи- узел, непосредственно установленный на агрегате движения. Это шестерня, шкив, установленный на валу электродвигателя, воспринимающая крутящий момент, и передающая другим( ведомым) узлам, механизмам. 3. В зависимости от соотношения входного и выходного валов, передачи делят на редукторы( увеличение мощности и уменьшение скорости вращения выходного вала) и мультипликаторы( увеличение скорости вращения и уменьшение мощности выходного вала). Передаточное отношение- одна из важных характеристик механической передачи, показывает во сколько раз вырос момент силы на ведомом валу. 4. назначение токарно- винторезного станка- обработка, резка, шлифовка, сверление заготовок, изделий, изготовление винтов, нарезка резьб. 5. движение подачи- оно задаётся коробкой подачи, имеющей ряд скоростей, для изменения скорости движения суппорта, в нем закрепляются резцы для обработки заготовок и нарезки резьб. Главное движение - снятие стружки на станках осуществляется благодаря вращательному движению заготовки. Движение, которое определяет скорость резания заготовки, называется главным. В токарном станке главное движение вращательное, во фрезерном станке- поступательно- возвратное.
4,4(15 оценок)
Ответ:
Mrsozic
Mrsozic
22.10.2020
Для получения на металлорежущем станке детали требуемых формы и размеров рабочим органам станка необходимо сообщить определенный, иногда довольно сложный комплекс согласованных друг с другом движений. Эти движения можно подразделить на основные (рабочие) и вс К основным движениям относят главное движение резания или, иначе, главное движение и движение подачи.

Вс движения необходимы для подготовки процесса резания, обеспечения последовательной обработки нескольких поверхностей на одной заготовке или одинаковых поверхностей на различных заготовках. К вс относят движения:

для наладки станка на заданные режимы резания;
для наладки станка в соответствии с размерами и конфигурацией заготовки;
управления станком в процессе работы;
соответствующих рабочих органов для подачи и зажима прутка или штучных заготовок;
для закрепления и освобождения рабочих органов станка.
Вс движения можно выполнять как автоматически, так и вручную. В станках-автоматах все вс движения автоматизированы, их выполняют механизмы станка в определенные моменты времени в соответствии с технологическим процессом обработки детали.

Главное движение резания (Dг) — прямолинейное поступательное или вращательное движение заготовки или режущего инструмента, происходящее с наибольшей скоростью в процессе резания. Главное движение может входить в состав сложного формообразующего движения (например, при точении резьбы). Скорость главного движения (v) — скорость перемещения рассматриваемой точки режущей кромки инструмента или заготовки, участвующих в главном движении. У станков токарной группы главным движением является вращение заготовки; у фрезерных, шлифовальных и сверлильных — вращение инструмента; у долбежных, протяжных, части зубообрабатывающих и некоторых других — возвратно-поступательное движение инструмента; у продольно-строгальных станков — возвратно-поступательное движение заготовки и т. д.

В некоторых станках главное движение получается в результате одновременного вращения заготовки и инструмента (например, при сверлении отверстий малого диаметра на токарных многошпиндельных автоматах).

Движение подачи (Ds) — прямолинейное поступательное или вращательное движение режущего инструмента или заготовки, скорость которого меньше скорости главного движения, предназначенное для того, чтобы распространить отделение слоя материала на всю обрабатываемую поверхность. Движение подачи может быть непрерывным или прерывистым. Прерывистое движение подачи может входить в состав сложного формообразующего движения, например, при шлифовании резьбы. В зависимости от направления различают движения подачи: продольное, поперечное и др.

Скорость движения подачи (vs) — это скорость рассматриваемой точки режущей кромки в движении подачи. Подача (S) — отношение расстояния, пройденного рассматриваемой точкой режущей кромки или заготовки вдоль траектории этой точки в движении подачи, к соответствующему числу циклов или определенных долей цикла другого движения во время резания или к числу определенных долей цикла этого другого движения. Под циклом движения понимают полный оборот, ход или двойной ход режущего инструмента или заготовки. Долей цикла является часть оборота, соответствующая угловому шагу зубьев режущего инструмента. Под ходом понимают движение в одну сторону при возвратно-поступательном движении. У токарных, фрезерных, сверлильных и других станков движение подачи является непрерывным. Прерывистым оно бывает, например, у продольнострогальных станков. Примером сложного движения подачи может служить движение подачи в зубофрезерном станке при нарезании косозубого цилиндрического колеса. У круглошлифовальных станков несколько движений подачи: вращательное движение заготовки, продольное осевое перемещение заготовки или шлифовального круга и, наконец, поперечное движение шлифовального круга. В протяжных станках движение


4,5(16 оценок)
Новые ответы от MOGZ: Математика
logo
Вход Регистрация
Что ты хочешь узнать?
Спроси Mozg
Открыть лучший ответ