М
Молодежь
К
Компьютеры-и-электроника
Д
Дом-и-сад
С
Стиль-и-уход-за-собой
П
Праздники-и-традиции
Т
Транспорт
П
Путешествия
С
Семейная-жизнь
Ф
Философия-и-религия
Б
Без категории
М
Мир-работы
Х
Хобби-и-рукоделие
И
Искусство-и-развлечения
В
Взаимоотношения
З
Здоровье
К
Кулинария-и-гостеприимство
Ф
Финансы-и-бизнес
П
Питомцы-и-животные
О
Образование
О
Образование-и-коммуникации

Содной производной
много !
x^3-xy^2+4^(x+2y^3)=cos(2/y)

👇
Ответ:
nik19991
nik19991
30.03.2021

Пошаговое объяснение:

дифференцирование функции, заданной неявно:

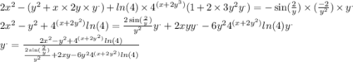
2 {x}^{2} - ( {y}^{2} + x \times 2y \times {y}^{.} ) + ln(4) \times {4}^{(x + 2 {y}^{3})} (1 + 2 \times 3 {y}^{2} {y}^{.} ) = - \sin( \frac{2}{y} ) \times ( \frac{ - 2}{ {y}^{2} } ) \times {y}^{.} \\ 2 {x}^{2} - {y}^{2} + {4}^{(x + 2 {y}^{2}) } ln(4) = \frac{2 \sin( \frac{2}{y} ) }{{y}^{2} } {y}^{.} + 2xy {y}^{.} - 6 {y}^{2} {4}^{(x + 2 {y}^{2} )} ln(4) {y}^{.} \\ {y}^{.} = \frac{2 {x}^{2} - {y}^{2} + {4}^{(x + 2 {y}^{2}) } ln(4) }{\frac{2 \sin( \frac{2}{y} ) }{{y}^{2} } + 2xy - 6 {y}^{2} {4}^{(x + 2 {y}^{2} )} ln(4)}

4,7(67 оценок)
Открыть все ответы
Ответ:
la23s
la23s
30.03.2021
Не стал бы разделять обеспокоенность американцев по поводу глобального потепления. Напротив, потепление в целом полезно для российской тайги. Повышается продуктивность (скорость роста деревьев) , тайга продвигается на север, занимая бесплодную тундру. 
Главная экологическая проблема тайги сегодня – ускоренная вырубка хвойных деревьев. Особенно плохо с кедром, который медленно растёт. В ХХ веке площади кедровых лесов сократились в разы, и, в настоящее время, не восстанавливаются. 
Что касается животного мира. Есть проблемы со снижением численности копытных из-за неумеренного отстрела, с амурским тигром. Охота на остальных снизилась. 
Вообще экономическая активность людей в таёжной зоне России значительно снизилась в последние 20 лет. Почти нет новых крупных строек, уменьшилось население таёжной зоны. Возможна даже постановка вопроса о недоиспользовании биологических ресурсов тайги. Примером могут быть бобры, которых стало слишком много.
4,8(76 оценок)
Ответ:
Maximismailov281
Maximismailov281
30.03.2021
Не стал бы разделять обеспокоенность американцев по поводу глобального потепления. Напротив, потепление в целом полезно для российской тайги. Повышается продуктивность (скорость роста деревьев) , тайга продвигается на север, занимая бесплодную тундру. 
Главная экологическая проблема тайги сегодня – ускоренная вырубка хвойных деревьев. Особенно плохо с кедром, который медленно растёт. В ХХ веке площади кедровых лесов сократились в разы, и, в настоящее время, не восстанавливаются. 
Что касается животного мира. Есть проблемы со снижением численности копытных из-за неумеренного отстрела, с амурским тигром. Охота на остальных снизилась. 
Вообще экономическая активность людей в таёжной зоне России значительно снизилась в последние 20 лет. Почти нет новых крупных строек, уменьшилось население таёжной зоны. Возможна даже постановка вопроса о недоиспользовании биологических ресурсов тайги. Примером могут быть бобры, которых стало слишком много.
4,5(66 оценок)
Новые ответы от MOGZ: Математика
logo
Вход Регистрация
Что ты хочешь узнать?
Спроси Mozg
Открыть лучший ответ