М
Молодежь
К
Компьютеры-и-электроника
Д
Дом-и-сад
С
Стиль-и-уход-за-собой
П
Праздники-и-традиции
Т
Транспорт
П
Путешествия
С
Семейная-жизнь
Ф
Философия-и-религия
Б
Без категории
М
Мир-работы
Х
Хобби-и-рукоделие
И
Искусство-и-развлечения
В
Взаимоотношения
З
Здоровье
К
Кулинария-и-гостеприимство
Ф
Финансы-и-бизнес
П
Питомцы-и-животные
О
Образование
О
Образование-и-коммуникации
ольга240387
ольга240387
26.11.2022 15:35 •  Математика

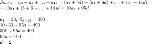
Варифмитической прогрессии первый член прогроссии равен 30 сумма цленов с 6 по 15 равна 490 найти разницу

👇
Ответ:
cfif20042
cfif20042
26.11.2022

S_{6-15}=a_6+a_7+\ldots+a_{15}=(a_1+5d)+(a_1+6d)+\ldots+(a_1+14d)=\\=10a_1+(5+6+\ldots+14)d=10a_1+95d\\\\a_1=30,\;S_{6-15}=490:\\10\cdot30+95d=490\\300+95d=490\\95d=190\\d=2

4,5(19 оценок)
Открыть все ответы
Ответ:
kos655005123
kos655005123
26.11.2022
1) 4х+10=32-8х
4х+8х=32-10
12х=22
х=22/12= 11/6

2) -4(х-5)=2х+6
-4х+20=2х+6
-4х-2х=6-20
-6х = -14
х= 14/6= 7/3

3) 4-6(х+2)=3-5х
4-6х-12=3-5х
-6х+5х=3-4+12
-х= 11
х= -11

4) 4,5 -1,3х=1,7х-3,5
-1,3х-1,7х = -3,5-4,5 
-3х= -8
х=8/3

5)5/6х+1,6=1/9х+7
75х+144=10х+630 (избавился от знаменателя сделав его 90 и добавив не хватающие числа в числитель)
75х-10х=630-144
65х=486
х=486/65

6) 2+х/2=х-3/9 (избавился от знаменателя сделав его 18 и добавив не хватающие числа в числитель)
36 + 9х= 18х-6
9х-18х= -6-36
-9х= -42
х = -42/ (-9) = 14/3
4,5(28 оценок)
Ответ:
ЭммаУаилд
ЭммаУаилд
26.11.2022
The smile is a magic gift. it warms everybody without exception, cheers up, makes to feel happy. it is so pleasant to see a smiling person, especially, when your mum smiles. and my mum who is the dearest person in the world smiles so tenderly, sincerely and openly. it becomes lightly from her smile in the whole house. and so, you want to sing with joy! my mummy is so beautiful when she smiles. and the crow`s-feet make her face so pretty! when mummy smiles, i want to take her in my arms and whisper: "my dear mummy i love you very much" in such minutes of the happiness and mutual understanding she remembers the time when i was so small. she tells about the happy minutes of my birth. and there is nothing wonderful such minutes! i think that for every child mummy is the best in the world, even when she is not so good and kind and always busy. coldness, inattention offend and wound children`s feelings most of all. but nevertheless i am sure that every mum loves her child. it feels when being busy she finds a minute for the dialogue with her child and doesn`t forget to favour her child with the smile. such minutes are remembered for a long time, and sometimes for the whole life. that`s why it is pleasant to all children to see mum smiling and cheerful. but it is important for us not only her smile, but also her understanding, love. i would like all children in the world have mums and let they love their children and more often smile.
4,4(68 оценок)
Новые ответы от MOGZ: Математика
logo
Вход Регистрация
Что ты хочешь узнать?
Спроси Mozg
Открыть лучший ответ