М
Молодежь
К
Компьютеры-и-электроника
Д
Дом-и-сад
С
Стиль-и-уход-за-собой
П
Праздники-и-традиции
Т
Транспорт
П
Путешествия
С
Семейная-жизнь
Ф
Философия-и-религия
Б
Без категории
М
Мир-работы
Х
Хобби-и-рукоделие
И
Искусство-и-развлечения
В
Взаимоотношения
З
Здоровье
К
Кулинария-и-гостеприимство
Ф
Финансы-и-бизнес
П
Питомцы-и-животные
О
Образование
О
Образование-и-коммуникации
emalyustova
emalyustova
19.02.2020 05:31 •  Математика

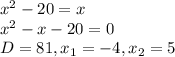
Решите уравнение x во 2 степени -20=x

👇
Ответ:
sashaiseneev
sashaiseneev
19.02.2020

x^{2} -20=x\\x^{2}-x-20=0\\D=81, x_1=-4, x_2=5

Пошаговое объяснение:

x_1=\frac{-b+\sqrt{D} }{2a}=\frac{1+9}2=5\\x_2=\frac{-b+\sqrt{D} }{2a}=\frac{1-9}2=-4\\

4,8(77 оценок)
Открыть все ответы
Ответ:
BossPolina
BossPolina
19.02.2020

Обозначим изначальное число книг на второй полке за х. Так как на первой полке изначально было в 5 раз больше книг, чем на второй, то на второй полке было 5х книг.

С первой полки сняли 16 книг, значит число книг на ней стало

5х - 16; на вторую полку добавили 12 книг, значит число книг на второй полке стало х + 12.

После этого книг на полках стало поровну, составим и решим уравнение:

5х - 16 = х + 12;

4х = 28;

х = 7.

Итак, на второй полке было 7 книг, на первой полке 7 * 5 = 35 книг.

ответ: на первой полке стояло 35 книг, на второй полке 7 книг.

4,6(16 оценок)
Ответ:
StasyaSelyugina
StasyaSelyugina
19.02.2020

ненаю

Пошаговое объяснение:

⠄⠄⠄⠄⠄⠄⠄⠄⠄⠄⠄⠄⠄⠄⠄⠄⠄⠄⠄⠄⠄⠄⠄⠄⠄⠄⠄⠄⠄⠄

⠄⠄⠄⠄⠄⠄⠄⠄⠄⠄⠄⣠⣴⣶⣿⣿⣷⣶⣄⣀⣀⠄⠄⠄⠄⠄⠄⠄⠄⠄

⠄⠄⠄⠄⠄⠄⠄⠄⠄⣰⣾⣿⣿⡿⢿⣿⣿⣿⣿⣿⣿⣿⣷⣦⡀⠄⠄⠄⠄⠄

⠄⠄⠄⠄⠄⠄⠄⢀⣾⣿⣿⡟⠁⣰⣿⣿⣿⡿⠿⠻⠿⣿⣿⣿⣿⣧⠄⠄⠄⠄

⠄⠄⠄⠄⠄⠄⠄⣾⣿⣿⠏⠄⣴⣿⣿⣿⠉⠄⠄⠄⠄⠄⠈⢻⣿⣿⣇⠄⠄⠄

⠄⠄⠄⠄⢀⣠⣼⣿⣿⡏⠄⢠⣿⣿⣿⠇⠄⠄⠄⠄⠄⠄⠄⠈⣿⣿⣿⡀⠄⠄

⠄⠄⠄⣰⣿⣿⣿⣿⣿⡇⠄⢸⣿⣿⣿⡀⠄⠄⠄⠄⠄⠄⠄⠄⣿⣿⣿⡇⠄⠄

⠄⠄⢰⣿⣿⡿⣿⣿⣿⡇⠄⠘⣿⣿⣿⣧⠄⠄⠄⠄⠄⠄⢀⣸⣿⣿⣿⠁⠄⠄

⠄⠄⣿⣿⣿⠁⣿⣿⣿⡇⠄⠄⠻⣿⣿⣿⣷⣶⣶⣶⣶⣶⣿⣿⣿⣿⠃⠄⠄⠄

⠄⢰⣿⣿⡇⠄⣿⣿⣿⠄⠄⠄⠄⠈⠻⣿⣿⣿⣿⣿⣿⣿⣿⣿⠟⠁⠄⠄⠄⠄

⠄⢸⣿⣿⡇⠄⣿⣿⣿⠄⠄⠄⠄⠄⠄⠄⠉⠛⠛⠛⠉⢉⣿⣿⠄⠄⠄⠄⠄⠄

⠄⢸⣿⣿⣇⠄⣿⣿⣿⠄⠄⠄⠄⠄⢀⣤⣤⣤⡀⠄⠄⢸⣿⣿⣿⣷⣦⠄⠄⠄

⠄⠄⢻⣿⣿⣶⣿⣿⣿⠄⠄⠄⠄⠄⠈⠻⣿⣿⣿⣦⡀⠄⠉⠉⠻⣿⣿⡇⠄⠄

⠄⠄⠛⠿⣿⣿⣿⣿⣷⣤⡀⠄⠄⠄⠄⠈⠹⣿⣿⣇⣀⠄⣠⣾⣿⣿⡇⠄⠄⠄

⠄⠄⠄⠄⠄⠄⠄⠹⣿⣿⣿⣿⣦⣤⣤⣤⣤⣾⣿⣿⣿⣿⣿⣿⣿⣿⡟⠄⠄⠄

⠄⠄⠄⠄⠄⠄⠄⠄⠄⠉⠻⢿⣿⣿⣿⣿⣿⣿⠿⠋⠉⠛⠋⠉⠉⠁⠄⠄⠄⠄

⠄⠄⠄⠄⠄⠄⠄⠄⠄⠄⠄⠄⠄⠈⠉⠉⠉⠁⠄⠄⠄⠄⠄⠄⠄⠄⠄⠄⠄⠄

⠄⠄⠄⠄⠄⠄⠄⠄⠄⠄⠄⠄⠄⠄⠄⠄⠄⠄⠄⠄⠄⠄⠄⠄⠄⠄⠄⠄⠄⠄

4,7(71 оценок)
Это интересно:
Новые ответы от MOGZ: Математика
logo
Вход Регистрация
Что ты хочешь узнать?
Спроси Mozg
Открыть лучший ответ