М
Молодежь
К
Компьютеры-и-электроника
Д
Дом-и-сад
С
Стиль-и-уход-за-собой
П
Праздники-и-традиции
Т
Транспорт
П
Путешествия
С
Семейная-жизнь
Ф
Философия-и-религия
Б
Без категории
М
Мир-работы
Х
Хобби-и-рукоделие
И
Искусство-и-развлечения
В
Взаимоотношения
З
Здоровье
К
Кулинария-и-гостеприимство
Ф
Финансы-и-бизнес
П
Питомцы-и-животные
О
Образование
О
Образование-и-коммуникации
Kissi111
Kissi111
29.10.2021 05:17 •  Математика

Периметр прямоугольника равен 86 см, причем разность длины и ширины равна 15 см. вычислите стороны прямоугольника.

👇
Ответ:
dgolovenko
dgolovenko
29.10.2021

Меньшая сторона прямоугольника - 14 см, большая - 29 см.

Пошаговое объяснение:

Справка:

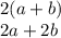
Периметр прямоугольника:

2(a+b)\\2a+2b

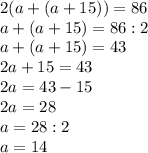
Составим уравнение.

Пусть a - меньшая сторона прямоугольника, а a+15 - большая.

2(a+(a+15))=86\\a+(a+15)=86:2\\a+(a+15)=43\\2a+15=43\\2a=43-15\\2a=28\\a=28:2\\a=14

Узнаем длину большей стороны прямоугольника:

1) 14 + 15 = 29 ( см ) - большая сторона.

4,5(14 оценок)
Открыть все ответы
Ответ:
бюро
бюро
29.10.2021

Посмотрим на эту задачу, как на граф: пилоты это вершины, если два пилота летали в одном экипаже, то между соответствующими вершинами проводим ребро. В условии задачи утверждается, что нет "пустых треугольников", то есть нет таких трех вершин, что между этими тремя вершинами нет ни одного ребра. Надо доказать, что найдется вершина степени хотя бы 13

Будем доказывать от противного. Пусть каждая вершина имеет степень не более семи. Возьмем любую вершину А, она не соединена хотя бы с девятью вершинами, назовем эти вершины хорошими. Среди хороших вершин возьмем любую вершину В. Она соединена максимум с семью вершинами, хороших вершин помимо В хотя бы восемь. Значит, найдется хотя бы одна хорошая вершина, не соединенная с В. Назовем ее С. Получается, мы нашли три попарно не соединенные вершины: А, В, С, противоречие.

4,6(3 оценок)
Ответ:
nastiabl5ct
nastiabl5ct
29.10.2021
Сейчас век нанотехнологий, человечество начало забывать о природе и о животных, живущих в ней. С каждым днём планета загрязняется всё больше и больше, почти все люди не представляют какую угрозу, несёт загрязнение и уничтожение природы.
Представьте, сколько выбросов в атмосферу происходит ежесекундно, чем люди дышат. Почти каждый второй человек на Земле, ежеминутно бросает мусор на отдыхе в парках и в лесах просто под ноги.

Ежедневно браконьеры ради наживы уничтожают диких животных, которых становится всё меньше. А сколько вырубается леса на всей планете, это вообще трудно себе представить. Сейчас есть организации по защите природы, они охраняют природные ресурсы, высаживают огромное количество деревьев, организовывают протесты против отлова диких животных для изготовления кожаных и меховых изделий, при котором страдают животные.
4,6(51 оценок)
Это интересно:
Новые ответы от MOGZ: Математика
logo
Вход Регистрация
Что ты хочешь узнать?
Спроси Mozg
Открыть лучший ответ