Пошаговое объяснение:Нужно решить каждое неравенство системы в отдельности, а затем найти пересечение их решений.
Решим первое неравенство системы.
Решение первого неравенства системы
3
x
+
12
>
4
x
−
1
⇒
−
x
>
−
13
⇒
x
<
13
x
<
13
или
x
∈
(
−
∞
;
13
)
Из первого неравенства находим:
x
∈
(
−
∞
;
13
)
или
x
<
13
Решим второе неравенство системы.
Решение второго неравенства системы
−
2
x
+
7
<
−
3
x
+
10
⇒
x
<
3
x
<
3
или
x
∈
(
−
∞
;
3
)
Из второго неравенства находим:
x
∈
(
−
∞
;
3
)
или
x
<
3
Наносим найденные точки на числовую ось и вычисляем знаки на каждом интервале:
x
3
13
x
∈
(
−
∞
;
3
)
или
x
<
3
ответ: 42 км/час. 72 км/час .
Пошаговое объяснение:
Дано. Расстояние между двумя пристанями 1026 км.
Одновременно навстречу друг другу вышли два теплохода и встретились через 9 часов.
Найдите скорость каждого теплохода,
если скорость второго на 30 км/час больше скорости первого.
Решение.
Пусть скорость 1 теплохода равна х км/час.
Тогда скорость 2 теплохода равна х+30 км/час.
За 9 часов 1 теплоход х км, а 2 - 9(х+30) км.
Общий путь равен 1026 км.
9х+9(х+30)=1026;
9х+9х+270=1026;
18х=756;
х=42 км/час -- скорость 1 теплохода.
42+30=72 км/час -- скорость 2 теплохода.
Проверим:
9*42 + 9*72 = 378 + 648= 1026 км. Всё верно!
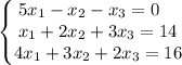
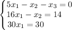
Запишем расширенную матрицу системы и приведем ее к треугольному виду при элементарных преобразований матрицы, которые выполняются над строками:
Ранг матрицы:
где
- число неизвестных.
Система совместимая, значит, имеет единственное решение.
Ставим в соответствие расширенной матрице систему, эквивалентную выходной, решение которой совершаем снизу вверх:
ответ: