М
Молодежь
К
Компьютеры-и-электроника
Д
Дом-и-сад
С
Стиль-и-уход-за-собой
П
Праздники-и-традиции
Т
Транспорт
П
Путешествия
С
Семейная-жизнь
Ф
Философия-и-религия
Б
Без категории
М
Мир-работы
Х
Хобби-и-рукоделие
И
Искусство-и-развлечения
В
Взаимоотношения
З
Здоровье
К
Кулинария-и-гостеприимство
Ф
Финансы-и-бизнес
П
Питомцы-и-животные
О
Образование
О
Образование-и-коммуникации
elem0207
elem0207
19.04.2020 23:32 •  Математика

Решить . под номером 5. заранее огромное

👇
Ответ:
DIMITMARASIT
DIMITMARASIT
19.04.2020

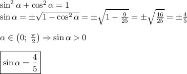
\sin^2\alpha+\cos^2\alpha=1\\\sin\alpha=\pm\sqrt{1-\cos^2\alpha}=\pm\sqrt{1-\frac9{25}}=\pm\sqrt{\frac{16}{25}}=\pm\frac45\\\\\alpha\in\left(0;\;\frac\pi2\right)\Rightarrow\sin\alpha0\\\\\boxed{\sin\alpha=\frac45}

4,8(24 оценок)
Открыть все ответы
Ответ:
09kok90
09kok90
19.04.2020
1.
1) 56+24=80 (кг) всего муки;
2) 80/40= 2 (кг) муки в один пакет
3) 56/2=28 пакетов для 1 мешка
4)24/2= 12 пакетов для 2 мешка

2.
1км180м=1180м
1180+820=2000м или 2км
ответ: на 2 км сблизились велосипедисты

3.
1) 200+600=800 - всего шерсти;
2) 800/8=100 г - в каждом мотке
3) 200/100=2 мотка белой шерсти;
4) 600/100=6 мотков синей шерсти
ответ: 2 мотка белой шерсти и 6 мотков синей шерсти.

4.
1) 4*3=12 км - в час проезжает велосипедист;
2) 12-4=8 км - в час больше проезжает велосипедис
ответ: 8 км в час больше проезжает велосипедист чем проходит пешеход.
4,4(68 оценок)
Ответ:
Тупой7А
Тупой7А
19.04.2020
Решение:
В сплаве содержится олова:
80*40% :100%=80*0,4=32 (кг)
Обозначим количество олова, которое нужно добавить в сплав за (х) кг, тогда количество олова в новом сплаве составит:
(32+х) кг
а масса сплава равна:
(80+х) кг
А так как содержание олова в новом сплаве составляет 50%, составим уравнение:
(32+х)/(80+х)*100%=50%
(32+х)/(80+х)=0,5
32+х=0,5*(80+х)
32+х=40+0,5х
х-0,5х=40-32
0,5х=8
х=8 : 0,5
х=16 (кг) -количество олова, которое нужно добавить в сплав

ответ: Количество олова, которое нужно добавит в сплав 16кг
4,6(52 оценок)
Это интересно:
Новые ответы от MOGZ: Математика
logo
Вход Регистрация
Что ты хочешь узнать?
Спроси Mozg
Открыть лучший ответ