М
Молодежь
К
Компьютеры-и-электроника
Д
Дом-и-сад
С
Стиль-и-уход-за-собой
П
Праздники-и-традиции
Т
Транспорт
П
Путешествия
С
Семейная-жизнь
Ф
Философия-и-религия
Б
Без категории
М
Мир-работы
Х
Хобби-и-рукоделие
И
Искусство-и-развлечения
В
Взаимоотношения
З
Здоровье
К
Кулинария-и-гостеприимство
Ф
Финансы-и-бизнес
П
Питомцы-и-животные
О
Образование
О
Образование-и-коммуникации
saponovadasha
saponovadasha
21.08.2021 05:06 •  Математика

Как решить через первый замечательный предел

👇
Ответ:
Мαлинкα
Мαлинкα
21.08.2021

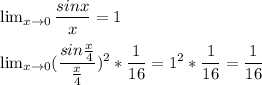
\dfrac{1}{16}

Пошаговое объяснение:

первый замечательный предел:

\lim_{x \to 0} \dfrac{sinx}{x}=1\\\\ \lim_{x \to 0} (\dfrac{sin\frac{x}{4} }{\frac{x}{4} } )^2*\dfrac{1}{16} =1^2*\dfrac{1}{16} =\dfrac{1}{16}

4,6(92 оценок)
Открыть все ответы
Ответ:
Milykenon101
Milykenon101
21.08.2021
Два события называются равновероятными (или равновозможными) , если нет никаких объективных причин считать, что одно из них может наступить чаще, чем другое.
Так, например, появления герба или надписи при бросании монеты представляют собой равновероятные события.
Рассмотрим другой пример. Пусть бросают игральную кость. В силу симметрии кубика можно считать, что появление любой из цифр 1, 2, 3, 4, 5 или 6 одинаково возможно (равновероятно) .
Неравновероятные события - это события, вероятность появления которых зависит от условий проведения эксперимента (зависимость прогноза погода от времени года) .
Например, в сообщении о погоде в зависимости от сезона сведения о том, что будет - дождь или снег, могут иметь разную вероятность. Летом наиболее вероятно сообщение о дожде, зимой - о снеге, а в переходный период (в марте или ноябре) они могут оказаться равновероятными. Понятие "более вероятное событие" можно пояснить через родственные понятия: более ожидаемое, происходящее чаще в данных условиях.
4,6(46 оценок)
Ответ:
tim2003np0acpp
tim2003np0acpp
21.08.2021

Признак делимости на 2: на 2 делятся все четные числа, т.е. числа, которые оканчиваются на 2, 4, 6, 8, 0.

Признак делимости на 3: на 3 делятся все числа, сумма цифр которых делится на 3.

1) 1356 на 2 делится, так как 1356 четное число.

2) 7361 на 3 не делится, так как сумма цифр числа 7 + 3 + 6 + 1 = 17, 17 на 3 не делится.

3) 4957 на 2 не делится, так как 4957 нечетное число.

4) 7263 на 2 не делится, так как 7263 нечетное число.

5) 8151 на 3 делится, так как сумма цифр числа 8 + 1 + 5 + 1 = 15, 15 делится на 3.

6) 9751 на 2 не делится, так как 9751 нечетное число.

4,5(93 оценок)
Новые ответы от MOGZ: Математика
logo
Вход Регистрация
Что ты хочешь узнать?
Спроси Mozg
Открыть лучший ответ