М
Молодежь
К
Компьютеры-и-электроника
Д
Дом-и-сад
С
Стиль-и-уход-за-собой
П
Праздники-и-традиции
Т
Транспорт
П
Путешествия
С
Семейная-жизнь
Ф
Философия-и-религия
Б
Без категории
М
Мир-работы
Х
Хобби-и-рукоделие
И
Искусство-и-развлечения
В
Взаимоотношения
З
Здоровье
К
Кулинария-и-гостеприимство
Ф
Финансы-и-бизнес
П
Питомцы-и-животные
О
Образование
О
Образование-и-коммуникации
aaaaaa29
aaaaaa29
30.09.2020 23:28 •  Математика

554
:
5
___
деление с остатком

👇
Ответ:
AnyaFOX9
AnyaFOX9
30.09.2020

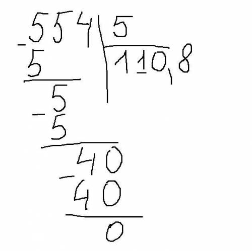
Решил записать на бумажке, может быть тебе столбиком нужно.


554 : 5 ___ деление с остатком
4,6(43 оценок)
Ответ:
ALESHABELAVIN
ALESHABELAVIN
30.09.2020

110 целых ( 4 в остатке)

либо 110,8


554 : 5 ___ деление с остатком
4,6(44 оценок)
Открыть все ответы
Ответ:
Кира11101010
Кира11101010
30.09.2020

Курган Аралтобе — в октябре 1999 года на территории Атырауской области Казахстана

В Актюбинской области Казахстана, на западе страны, археологи обнаружили захоронение так называемого «золотого человека» – вождя, похороненного в украшенной золотом одежде, который относится к сарматскому периоду, то есть датируется Аралтобинское захоронение датируется II веком до нашей эры. Это время наивысшего расцвета культуры сарматов Арало-Каспийского региона и повышения его военно-политической активности.

Пошаговое объяснение:

Все объяснила выше. Если тебе не трудно, то оцени мой ответ (сердечки,звездочки)))

4,5(32 оценок)
Ответ:
Танюшксав
Танюшксав
30.09.2020

Россия стала опасна для стран Европы после победы Наполеона. Конечно,она претендовала на то,чтобы получить  больше территорий,в том числе выход к Черному морю, но на каком то совете(не помню),европейские страны стали возмущаться из за наглости Александра.поэтому Россия получила лишь небольшую часть новых территорий(вроде Польши..и еще чего то) и не получила выхода к Черному морю, иначе она стала бы очень экономически развитой страной(а европейские страны этого боялись).

вот как то так. это "грубо говоря".

4,4(50 оценок)
Это интересно:
Новые ответы от MOGZ: Математика
logo
Вход Регистрация
Что ты хочешь узнать?
Спроси Mozg
Открыть лучший ответ