М
Молодежь
К
Компьютеры-и-электроника
Д
Дом-и-сад
С
Стиль-и-уход-за-собой
П
Праздники-и-традиции
Т
Транспорт
П
Путешествия
С
Семейная-жизнь
Ф
Философия-и-религия
Б
Без категории
М
Мир-работы
Х
Хобби-и-рукоделие
И
Искусство-и-развлечения
В
Взаимоотношения
З
Здоровье
К
Кулинария-и-гостеприимство
Ф
Финансы-и-бизнес
П
Питомцы-и-животные
О
Образование
О
Образование-и-коммуникации
vladislavserov
vladislavserov
15.02.2023 01:57 •  Математика

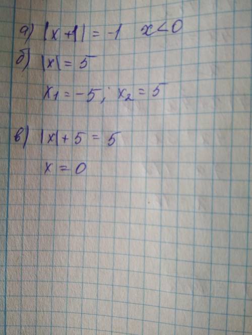
Решите уровнения для 6 класса б) | x |=5;
в) | x |+5=5.​

👇
Ответ:
choserge
choserge
15.02.2023

x+1=-1

X=-1-1

X=-2

X=5

X+5=5

X=5-5

X=0

4,8(9 оценок)
Ответ:
кирилл2122
кирилл2122
15.02.2023

Пошаговое объяснение:


Решите уровнения для 6 класса б) | x |=5;в) | x |+5=5.​
4,7(64 оценок)
Открыть все ответы
Ответ:
lolii0ikolik
lolii0ikolik
15.02.2023

Стоимость дороги через лес будет стоить 16*4=64тыс.руб

через реку 18*4=72тыс.руб

через овраг 12*4=48тыс.руб

затраты на вырубку составят 12*3=36тыс.руб

затраты через реку 14*2=28тыс.руб

затраты через овраг 35+17=52тыс.руб

если сложить затраты и стоимость дорог, то получится:64+36=100тыс.руб

                                                                                      72+28=100тыс.руб

                                                                                      48+52=100тыс. руб

ИТОГО: все дороги равнозначны.

 

4,8(78 оценок)
Ответ:
Hamster02
Hamster02
15.02.2023

Вот смотрю я в окно, а на улице идет осенний дождь. Сразу как-то грустно стало на душе. Почему-то в памяти всплывают негативные моменты, связанные с нашей природой. Это горы мусора в лесах, вблизи дачных кооперативах, черный смог над Москвой, который ничем не скроешь и он как шапка накрывает город. Ведь от всего этого гибнет наша природа, птицы и звери покидают леса, развиваются страшные болезни и т.д.

    А так хочется, что бы наш окружающий мир был чистым, здоровым! Чтобы люди не ходили хмуро поглядывая друг на друга, а улыбались. Как хочется наслаждаться безоблачным небом!

     Хочется отдельно сказать правительству за восстановление парков и парковых зон. Сейчас это уголки умиротворения, куда можно придти, культурно отдохнуть, насладиться природой! После таких прогулок рабочая неделя пролетает очень легко! Хочу, чтобы меня всегда окружала красота, спокойствие и хорошее настроение!

4,4(83 оценок)
Новые ответы от MOGZ: Математика
logo
Вход Регистрация
Что ты хочешь узнать?
Спроси Mozg
Открыть лучший ответ