М
Молодежь
К
Компьютеры-и-электроника
Д
Дом-и-сад
С
Стиль-и-уход-за-собой
П
Праздники-и-традиции
Т
Транспорт
П
Путешествия
С
Семейная-жизнь
Ф
Философия-и-религия
Б
Без категории
М
Мир-работы
Х
Хобби-и-рукоделие
И
Искусство-и-развлечения
В
Взаимоотношения
З
Здоровье
К
Кулинария-и-гостеприимство
Ф
Финансы-и-бизнес
П
Питомцы-и-животные
О
Образование
О
Образование-и-коммуникации
yuniman
yuniman
05.01.2021 11:36 •  Математика

Определи: является ли корнем уравнения 13x+12=x число -8?

👇
Ответ:
frolovaasd2017
frolovaasd2017
05.01.2021

13х+12=х

13х-х=-12

12х=-12

х=-1

нет

4,6(7 оценок)
Ответ:
AkimMen
AkimMen
05.01.2021

не является

Объяснение:

Первый

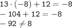
\displaystyle \tt 13x+12=x\\\displaystyle \tt 13x-x=-12\\\displaystyle \tt 12x=-12\\\displaystyle \tt x=\frac{-12}{12}\\\displaystyle \tt x=-1\\\displaystyle \tt -1\ne-8

Второй

\displaystyle \tt 13\cdot(-8)+12=-8\\\displaystyle \tt -104+12=-8\\\displaystyle \tt -92\ne8

4,5(3 оценок)
Открыть все ответы
Ответ:
yyydomayyy
yyydomayyy
05.01.2021
При одинаковом числителе меньше та дробь, у которой знаменатель больше.
При разных числителях, но одинаковых знаменателях больше та дробь, у которой числитель больше.
А при разных числителях и знаменателях дробь, у которой знаменатель меньше умножают на такое число, чтобы знаменатель ее стал таким же, как и знаменатель другой дроби.
7/8 м 3/4
Домножаешь дробь, у которой знаменатель меньше на столько, чтобы знаменатели этих дробей стали одинаковыми, то есть 3/4 умножаешь на 2. При этом и числитель и знаменатель умножаются на 2. От домножения значение дроби не меняется.
Теперь у нас дроби
7/8 и 8/8. Как я говорил, при одинаковых знаменателях больше та дробь, у которой числитель больше, то есть
7/8<8/8
Так же делаешь и остальные
6/25<1/4
11/6>7/4
3/4=9/12
7/5<3/2
5/6>5/8
4,7(99 оценок)
Ответ:
однажды Мюнхаузен попал в доисторическое время . Он задремал в пещере но когда проснулся оказался в плену доисторического человека , тот собирался его сьесть ,тогда барон предложил  поиграть впрятки . Человек согласился когда человек произнасил какиета непонятные звуки барон убежал из пещеры ,но на выходе он остановился изатоил дыхание перед ним была прикрасная девушка глаза её были как две звезды на небе ,волосы были черны как зола а кожа как снег бела . Она очень понравилась мюнхаузену и он решил убежать с ней  в своё время ,но на этом маменте он проснулся и жалел что это был всего лишь сон 
4,6(25 оценок)
Это интересно:
Новые ответы от MOGZ: Математика
logo
Вход Регистрация
Что ты хочешь узнать?
Спроси Mozg
Открыть лучший ответ