М
Молодежь
К
Компьютеры-и-электроника
Д
Дом-и-сад
С
Стиль-и-уход-за-собой
П
Праздники-и-традиции
Т
Транспорт
П
Путешествия
С
Семейная-жизнь
Ф
Философия-и-религия
Б
Без категории
М
Мир-работы
Х
Хобби-и-рукоделие
И
Искусство-и-развлечения
В
Взаимоотношения
З
Здоровье
К
Кулинария-и-гостеприимство
Ф
Финансы-и-бизнес
П
Питомцы-и-животные
О
Образование
О
Образование-и-коммуникации
trenter
trenter
21.07.2022 06:21 •  Математика

Если можно решите очень хочу понять как решаеться подобное.

👇
Ответ:
281120057
281120057
21.07.2022

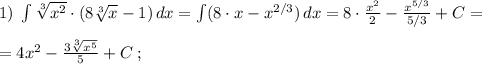
1)\; \int \sqrt[3]{x^2}\cdot (8\sqrt[3]{x}-1)\, dx=\int (8\cdot x-x^{2/3})\, dx=8\cdot \frac{x^2}{2}-\frac{x^{5/3}}{5/3}+C=\\\\=4x^2-\frac{3\sqrt[3]{x^5} }{5}+C\; ;

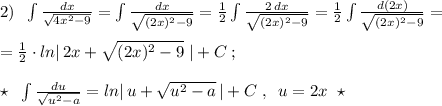
2)\; \; \int \frac{dx}{\sqrt{4x^2-9}}=\int \frac{dx}{\sqrt{(2x)^2-9}}=\frac{1}{2}\int \frac{2\, dx}{\sqrt{(2x)^2-9}}=\frac{1}{2}\int \frac{d(2x)}{\sqrt{(2x)^2-9}}=\\\\=\frac{1}{2}\cdot ln|\, 2x+\sqrt{(2x)^2-9}\; |+C\; ;\\\\\star \; \; \int \frac{du}{\sqrt{u^2-a}}=ln|\, u+\sqrt{u^2-a}\, |+C\; ,\; \; u=2x\; \; \star

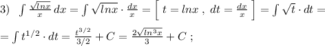
3)\; \; \int \frac{\sqrt{lnx}}{x}\, dx=\int \sqrt{lnx}\cdot \frac{dx}{x}=\Big[\; t=lnx\; ,\; dt=\frac{dx}{x}\; \Big]=\int \sqrt{t}\cdot dt=\\\\=\int t^{1/2}\cdot dt=\frac{t^{3/2}}{3/2}+C=\frac{2\sqrt{ln^3x}}{3}+C\; ;

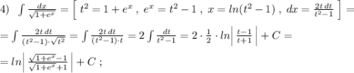
4)\; \; \int \frac{dx}{\sqrt{1+e^{x}}}=\Big[\; t^2=1+e^{x}\; ,\; e^{x}=t^2-1\; ,\; x=ln(t^2-1)\; ,\; dx=\frac{2t\, dt}{t^2-1}\; \Big]=\\\\=\int \frac{2t\, dt}{(t^2-1)\cdot \sqrt{t^2}}=\int \frac{2t\, dt}{(t^2-1)\cdot t}=2\int \frac{dt}{t^2-1}=2\cdot \frac{1}{2}\cdot ln\Big |\, \frac{t-1}{t+1}\, \Big|+C=\\\\=ln\Big|\, \frac{\sqrt{1+e^{x}}-1}{\sqrt{1+e^{x}}+1}\, \Big|+C\; ;

4,8(84 оценок)
Открыть все ответы
Ответ:
Даркфреш
Даркфреш
21.07.2022
1) 72 : 4 = 18 км/час (скорость катера по течению)
   18 - 2 = 16 км/час (собственная скорость катера)
2) 63 : 3 = 21 км/час (скорость катера против течения)
   23 - 21 = 2км/час (скорость реки)
3) 126 : 7 = 18 км/час (скорость лодки по течению )
    126 : 63 = 2 км/час (скорость плота, реки)
     18 + 2 = 20 км/час (скорость лодки в стоячей воде)
4) 72 : 3 = 24км/час (скорость теплохода по течению)
    72 : 18 = 4км/час (скорость плота, реки)
    24 - 4 = 20км/час (скорость теплохода в стоячей воде)
    20 - 4 = 16км/час (скорость теплохода против течения)
5) С момента когда человек впервые ступил на Луну (21 июля 1969г и до 17 сентября 2014 г включительно лет 1мес 28дн
4,8(79 оценок)
Ответ:
anytabudanova
anytabudanova
21.07.2022
Найдем скорость плота и соответственно течение реки
126:63=2 км/час
найдем скорость лодки против течения реки
126:7=18 км/ч
найдем истинную скорость лодки (в стоячей воде)
18+2=20 км/ч

найдем скорость плота
72:18=4 км/ч
найдем скорость парохода по течению реки
72:3=24  км/ч (или зная, что время время преодоления такого-же расстояния у пароходда в 18:3=6 меньше, то значит его скорость в три раза больше 4*6=24)
найдем собственную скорость парохода
24-4=20 км/ч
найдем скороть парохода при движении против течения
20-4=16 км/ч
4,6(91 оценок)
Это интересно:
logo
Вход Регистрация
Что ты хочешь узнать?
Спроси Mozg
Открыть лучший ответ